Alcohol, Phenol and Ether MCQ Questions & Answers in Organic Chemistry | Chemistry
Learn Alcohol, Phenol and Ether MCQ questions & answers in Organic Chemistry are available for students perparing for IIT-JEE, NEET, Engineering and Medical Enternace exam.
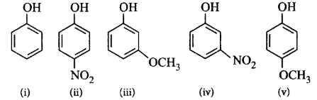
161.
Mark the correct order of decreasing acid strength of the following compounds.
A
(v) > (iv) > (ii) > (i) > (iii)
B
(ii) > (iv) > (i) > (iii) > (v)
C
(iv) > (v) > (iii) > (ii) > (i)
D
(v) > (iv) > (iii) > (ii) > (i)
Answer :
(ii) > (iv) > (i) > (iii) > (v)
The electron withdrawing group $$\left( { - N{O_2}} \right)$$ increases the acidity of phenols and the electron donating group $$\left( { - OC{H_3}} \right)$$ decreases the acidity of phenols. The effect at $$p$$ - position is greater than at $$m$$ - position.
162.
Which of the following reagents cannot be used to oxidise primary alcohols to aldehydes?
A
$$Cr{O_3}$$ in anhydrous medium
B
$$KMn{O_4}$$ in acidic medium
C
Pyridinium chlorochromate
D
Heat in the presence of $$Cu$$ at $$573\,K$$
Answer :
$$KMn{O_4}$$ in acidic medium
$$KMn{O_4}$$ will oxidise initially formed aldehydes to carboxylic acids.
163.
When phenol is treated with $$CHC{l_3}$$ and $$NaOH$$ the product formed is
A
benzaldehyde
B
salicylaldehyde
C
salicylic acid
D
benzoic acid
Answer :
salicylaldehyde
Reimer-Tiemann reaction When phenol is treated with chloroform and $$NaOH,$$ salicylaldehyde is obtained.
164.
Which one of the following compounds is most acidic ?
A
B
C
D
Answer :
Phenols are much more acidic than alcohols, due to the stabilisation of phenoxide ion by resonance
Phenoxide ion is stabilised due to following resonating structures :
165.
An organic compound $$A$$ reacts with methyl magnesium iodide to form an addition product which on hydrolysis forms the compound $$B.$$ Compound $$B$$ gives blue colour salt in Victor Meyer’s test. The compounds $$A$$ and $$B$$ are respectively
A
acetaldehyde, tertiary butyl alcohol
B
acetaldehyde, ethyl alcohol
C
acetaldehyde, isopropyl alcohol
D
acetone, isopropyl alcohol
Answer :
acetaldehyde, isopropyl alcohol
Compound $$B$$ is a Sec. alcohol since it gives blue colour in Victor-Meyer test and Sec alcohol are obtained by the action of $$C{H_3}MgI$$ on an aldehyde other than formaldehyde.
So $$A$$ is Acetaldehyde and $$B$$ is Isopropyl Alcohol.
166.
\[{{\left( C{{H}_{3}} \right)}_{3}}C-C{{H}_{2}}OH\xrightarrow[{{170}^{\circ }}C]{\text{Conc}.\,{{H}_{2}}S{{O}_{4}}}X\]
In the reaction, $$X$$ is
A
$${\left( {C{H_3}} \right)_2}C = CHC{H_3}$$
B
$$C{H_3}C \equiv CH$$
C
$${\left( {C{H_3}} \right)_2}CHC{H_2}C{H_3}$$
D
\[C{{H}_{3}}-C{{H}_{2}}\underset{\begin{smallmatrix}
|\,\, \\
\,\,C{{H}_{3}}
\end{smallmatrix}}{\mathop{-C=}}\,C{{H}_{2}}\]
No explanation is given for this question. Let's discuss the answer together.
169.
The heating of phenyl-methyl ethers with $$HI$$ produces.
A
ethyl chlorides
B
iodobenzene
C
phenol
D
benzene
Answer :
phenol
Thinking Process This problem is based on the resonance stabilisation.
In anisol, methyl phenyl oxonium ion is formed by protonation of ether. The bond between $$O - C{H_3}$$ is weaker than the bond between $$O - {C_6}{H_5},$$ because the carbon of phenyl group is $$s{p^2}$$ - hybridised and there is a partial double bond character. Thus, the reaction yields phenol and alkyl halide.
170.
What is $$Z$$ in the following sequence of reactions ?
\[Z\xrightarrow{PC{{l}_{5}}}X\xrightarrow{Alc.\,KOH}Y\] \[\xrightarrow[\left( \text{ii} \right)\,{{H}_{2}}O;\,\text{boil}]{\left( \text{i} \right)\,Conc.\,{{H}_{2}}S{{O}_{4}}}Z\]
A
$$C{H_3}C{H_2}C{H_2}OH$$
B
$$C{H_3}CH\left( {OH} \right)C{H_3}$$
C
$${\left( {C{H_3}C{H_2}} \right)_2}CHOH$$
D
$$C{H_3}CH = C{H_2}$$
Answer :
$$C{H_3}CH\left( {OH} \right)C{H_3}$$
Reagents used in the various steps indicate that the compound $$Z$$ has an alcoholic group. This set of reactions is possible only when $$Z$$ is $$C{H_3}CHOHC{H_3}.$$
In options A and C, $$Y$$ cannot be converted back into D by the given series of reactions.