Alcohol, Phenol and Ether MCQ Questions & Answers in Organic Chemistry | Chemistry

Learn Alcohol, Phenol and Ether MCQ questions & answers in Organic Chemistry are available for students perparing for IIT-JEE, NEET, Engineering and Medical Enternace exam.

181. The $$C-O-C$$   angle in ether is about

A $${180^ \circ }$$
B $${190^ \circ }28'$$
C $${110^ \circ }$$
D $${105^ \circ }$$
Answer :   $${110^ \circ }$$

182. The major product formed in the following reaction is :
Alcohol, Phenol and Ether mcq question image

A Alcohol, Phenol and Ether mcq option image
B Alcohol, Phenol and Ether mcq option image
C Alcohol, Phenol and Ether mcq option image
D Alcohol, Phenol and Ether mcq option image
Answer :   Alcohol, Phenol and Ether mcq option image

183. Williamson synthesis of ether is an example of :

A Nucleophilic addition
B Electrophilic addition
C Electrophilic substitution
D Nucleophilic substitution
Answer :   Nucleophilic substitution

184. In the following reactions,
\[\left( \text{i} \right)C{{H}_{3}}\overset{\begin{smallmatrix} \,\,C{{H}_{3}} \\ |\,\,\,\, \end{smallmatrix}}{\mathop{-CH-}}\,\underset{\begin{smallmatrix} |\,\,\,\,\,\,\,\,\,\,\, \\ OH\,\,\,\,\,\,\,\, \end{smallmatrix}}{\mathop{CH-}}\,C{{H}_{3}}\]      \[\xrightarrow{\frac{{{H}^{+}}}{\text{heat}}}\underset{\left[ \begin{smallmatrix} \text{Major} \\ \text{product} \end{smallmatrix} \right]}{\mathop{A}}\,+\underset{\left[ \begin{smallmatrix} \text{Minor} \\ \text{product} \end{smallmatrix} \right]}{\mathop{B}}\,\]
\[\left( \text{ii} \right)A\xrightarrow[\text{in absence of peroxide }]{HBr,\,\text{dark}}\]      \[\underset{\left[ \begin{smallmatrix} \text{Major} \\ \text{product} \end{smallmatrix} \right]}{\mathop{C}}\,+\underset{\left[ \begin{smallmatrix} \text{Minor} \\ \text{product} \end{smallmatrix} \right]}{\mathop{D}}\,\]
The major products $$A$$ and $$C$$ are respectively

A \[C{{H}_{2}}=\overset{\begin{smallmatrix} \,\,C{{H}_{3}} \\ |\,\,\, \end{smallmatrix}}{\mathop{C-}}\,C{{H}_{2}}-C{{H}_{3}}\,\,\text{and}\]      \[\underset{\begin{smallmatrix} |\,\,\,\,\,\,\,\,\,\,\,\,\, \\ Br\,\,\,\,\,\,\,\,\,\,\,\, \end{smallmatrix}}{\mathop{C{{H}_{2}}-}}\,\overset{\begin{smallmatrix} C{{H}_{3}}\,\, \\ |\,\,\,\,\,\,\,\, \end{smallmatrix}}{\mathop{CH-}}\,C{{H}_{2}}-C{{H}_{3}}\]
B \[C{{H}_{3}}\overset{\begin{smallmatrix} \,\,\,\,\,C{{H}_{3}} \\ | \end{smallmatrix}}{\mathop{-C=}}\,CH-C{{H}_{3}}\,\,\text{and}\]      \[C{{H}_{3}}\underset{\begin{smallmatrix} | \\ Br \end{smallmatrix}}{\overset{\begin{smallmatrix} \,\,\,\,\,\,C{{H}_{3}} \\ \,| \end{smallmatrix}}{\mathop{-C-}}}\,C{{H}_{2}}-C{{H}_{3}}\]
C \[C{{H}_{3}}\overset{\begin{smallmatrix} \,\,\,\,\,C{{H}_{3}} \\ | \end{smallmatrix}}{\mathop{-C=}}\,CH-C{{H}_{3}}\,\,\text{and}\]      \[C{{H}_{3}}\overset{\begin{smallmatrix} \,\,\,C{{H}_{3}} \\ |\,\,\, \end{smallmatrix}}{\mathop{-CH-}}\,\underset{\begin{smallmatrix} |\,\,\,\,\,\,\,\,\,\,\,\, \\ Br\,\,\,\,\,\,\,\,\,\,\, \end{smallmatrix}}{\mathop{CH-}}\,C{{H}_{3}}\]
D \[C{{H}_{2}}\overset{\begin{smallmatrix} \,\,\,\,\,\,\,\,C{{H}_{3}} \\ \,\,\,| \end{smallmatrix}}{\mathop{=C-}}\,C{{H}_{2}}-C{{H}_{3}}\,\,\text{and}\]      \[C{{H}_{3}}\underset{\begin{smallmatrix} | \\ Br \end{smallmatrix}}{\overset{\begin{smallmatrix} \,\,\,\,\,\,C{{H}_{3}} \\ \,| \end{smallmatrix}}{\mathop{-C-}}}\,C{{H}_{2}}-C{{H}_{3}}\]
Answer :   \[C{{H}_{3}}\overset{\begin{smallmatrix} \,\,\,\,\,C{{H}_{3}} \\ | \end{smallmatrix}}{\mathop{-C=}}\,CH-C{{H}_{3}}\,\,\text{and}\]      \[C{{H}_{3}}\underset{\begin{smallmatrix} | \\ Br \end{smallmatrix}}{\overset{\begin{smallmatrix} \,\,\,\,\,\,C{{H}_{3}} \\ \,| \end{smallmatrix}}{\mathop{-C-}}}\,C{{H}_{2}}-C{{H}_{3}}\]

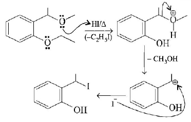
185. The product of the reaction given belowis :
Alcohol, Phenol and Ether mcq question image

A Alcohol, Phenol and Ether mcq option image
B Alcohol, Phenol and Ether mcq option image
C Alcohol, Phenol and Ether mcq option image
D Alcohol, Phenol and Ether mcq option image
Answer :   Alcohol, Phenol and Ether mcq option image

186. The structure of the compound that gives a tribromo derivative on treatment with bromine water is

A Alcohol, Phenol and Ether mcq option image
B Alcohol, Phenol and Ether mcq option image
C Alcohol, Phenol and Ether mcq option image
D Alcohol, Phenol and Ether mcq option image
Answer :   Alcohol, Phenol and Ether mcq option image

187. $$HBr$$  reacts with $$C{H_2} = CH - OC{H_3}$$     under anhydrous conditions at room temperature to give

A $$BrC{H_2} - C{H_2} - OC{H_3}$$
B $${H_3}C - CHBr - OC{H_3}$$
C $$C{H_3}CHO\,{\text{and}}\,C{H_3}Br$$
D $$BrC{H_2}CHO\,\,{\text{and}}\,C{H_3}OH$$
Answer :   $${H_3}C - CHBr - OC{H_3}$$

188. Which of the following are intermediates in the reaction of excess of \[C{{H}_{3}}MgBr\]   with \[{{C}_{6}}{{H}_{5}}COO{{C}_{2}}{{H}_{5}}\]    to make 2 - phenyl - 2 - propanol ?
Alcohol, Phenol and Ether mcq question image
Alcohol, Phenol and Ether mcq question image

A A and B
B A, B and C
C A and C
D B and C
Answer :   A, B and C

189. The following change can be carried out with
Alcohol, Phenol and Ether mcq question image

A $$NaB{H_4}$$
B $$LiAl{H_4}$$
C $${H_2}/Pt$$
D $$PCC/C{H_2}C{l_2}$$
Answer :   $$LiAl{H_4}$$

190. In the following sequence of reactions,
\[C{{H}_{3}}C{{H}_{2}}OH\xrightarrow{P+{{I}_{2}}}A\xrightarrow[\text{ether}]{Mg}\]      \[B\xrightarrow{HCHO}C\xrightarrow{{{H}_{2}}O}D\]
the compound $$D$$ is

A propanal
B butanal
C $$n$$ - butyl alcohol
D $$n$$ - propyl alcohol
Answer :   $$n$$ - propyl alcohol