Alcohol, Phenol and Ether MCQ Questions & Answers in Organic Chemistry | Chemistry

Learn Alcohol, Phenol and Ether MCQ questions & answers in Organic Chemistry are available for students perparing for IIT-JEE, NEET, Engineering and Medical Enternace exam.

191. An industrial method of preparation of methanol is :

A catalytic reduction of carbon monoxide in presence of $$ZnO - C{r_2}{O_3}$$
B by reacting methane with steam at 900°C with a nickel catalyst
C by reducing formaldehyde with lithium aluminium hydride .
D by reacting formaldehyde with aqueous sodium hydroxide solution
Answer :   catalytic reduction of carbon monoxide in presence of $$ZnO - C{r_2}{O_3}$$

192. What is the structure of the major product when phenol is treated with bromine water ?

A Alcohol, Phenol and Ether mcq option image
B Alcohol, Phenol and Ether mcq option image
C Alcohol, Phenol and Ether mcq option image
D Alcohol, Phenol and Ether mcq option image
Answer :   Alcohol, Phenol and Ether mcq option image

193. Vapours of an alcohol $$X$$ when passed over hot reduced copper, produce an alkene, the alcohol is

A primary alcohol
B secondary alcohol
C tertiary alcohol
D dihydric alcohol
Answer :   tertiary alcohol

194. How many isomers of $${C_5}{H_{11}}OH$$   will be primary alcohols ?

A 5
B 4
C 2
D 3
Answer :   4

195. Phenol on heating with $$CHC{l_3}$$   and $$NaOH$$  gives salicylaldehyde. The reaction is called :

A Reimer - Tiemann reaction
B Claisen reaction
C Cannizzaro’s reaction
D Hell - Volhard - Zelinsky reaction
Answer :   Reimer - Tiemann reaction

196. Anisole on reaction with chloromethane in presence of anhydrous $$AlC{l_3}$$  gives

A $$o$$ - methyl anisole and $$p$$ - methoxy anisole
B $$p$$ - methyl anisole and $$p$$ - methoxy anisole
C $$o$$ - methyl anisole and $$p$$ - methyl anisole
D $$o$$ - methoxy acetophenone and $$p$$ - methoxy acetophenone.
Answer :   $$o$$ - methyl anisole and $$p$$ - methyl anisole

197. Mark the correct increasing order of reactivity of the following compounds with $$HBr/HCl.$$
Alcohol, Phenol and Ether mcq question image

A (i) < (ii) < (iii)
B (ii) < (i) < (iii)
C (ii) < (iii) < (i)
D (iii) < (ii) < (i)
Answer :   (ii) < (iii) < (i)

198. What is the major product of the following reaction ?
Alcohol, Phenol and Ether mcq question image
\[\xrightarrow[\text{Pyridine cold}]{Cr{{O}_{3}}}\text{Product}\]

A Alcohol, Phenol and Ether mcq option image
B Alcohol, Phenol and Ether mcq option image
C Alcohol, Phenol and Ether mcq option image
D Alcohol, Phenol and Ether mcq option image
Answer :   Alcohol, Phenol and Ether mcq option image

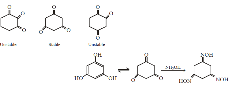
199. Which of the following compound can react with hydroxylamine ?

A Alcohol, Phenol and Ether mcq option image
B Alcohol, Phenol and Ether mcq option image
C Alcohol, Phenol and Ether mcq option image
D Alcohol, Phenol and Ether mcq option image
Answer :   Alcohol, Phenol and Ether mcq option image

200. IUPAC name of $$m$$ - cresol is

A 3-methylphenol
B 3-chlorophenol
C 3-methoxyphenol
D benzene-1, 3-diol
Answer :   3-methylphenol