Alcohol, Phenol and Ether MCQ Questions & Answers in Organic Chemistry | Chemistry
Learn Alcohol, Phenol and Ether MCQ questions & answers in Organic Chemistry are available for students perparing for IIT-JEE, NEET, Engineering and Medical Enternace exam.
241.
The correct order of strength of acidity of the following compounds is
A
(ii) > (i) > (iii) > (iv)
B
(i) > (ii) > (iii) > (iv)
C
(iv) > (iii) > (ii) > (i)
D
(iv) > (iii) > (i) > (ii)
Answer :
(iv) > (iii) > (i) > (ii)
Presence of electron withdrawing groups such as nitro group enhances the acidic strength of phenol and the presence of electron releasing groups such as alkyl group decreases the acidic strength of phenol.
242.
IUPAC name of \[\underset{\begin{smallmatrix}
| \\
\,\,\,\,\,\,\,\,\,\,C{{H}_{2}}OH
\end{smallmatrix}}{\mathop{C{{H}_{3}}C{{H}_{2}}C{{H}_{2}}CH-C{{H}_{2}}C{{H}_{3}}}}\,\] is
243.
\[\xrightarrow{\begin{smallmatrix}
\left( 1 \right)\,MeMgBr \\
\left( 2 \right)\,{{H}_{3}}{{O}^{+}}
\end{smallmatrix}}\left( C \right)\xrightarrow{NaB{{H}_{4}},EtOH}\left( D \right)\]
Product $$(D)$$ in above reaction is :
A
B
C
D
Answer :
244.
The reaction
Which of the following compounds will be formed?
A
B
C
D
Answer :
When $$conc.$$ $$HI$$ or $$HBr$$ reacts with ether, the corresponding alcohol and alkyl iodide is formed. When there is a case of mixed ethers the halogen atom attaches to the smaller alkyl group, due to steric effect.
245.
In order to get 2-hydroxybenzaldehyde from phenol, which of the following reagents is
required ?
A
$${\left( {C{H_3}CO} \right)_2}O,{H_2}S{O_4}$$
B
$$CHC{l_3}/NaOH$$
C
$$C{O_2},NaOH$$
D
$$CC{l_4}/NaOH$$
Answer :
$$CHC{l_3}/NaOH$$
246.
Dehydration of alcohols by \[conc.\,{{H}_{2}}S{{O}_{4}}\] takes place according to following steps :
The slowest and fastest steps in the above reaction are
A
step 1 is slowest, while 3 is fastest.
B
step 2 is slowest, while 3 is fastest.
C
step 2 is slowest, while 4 is fastest.
D
all steps proceed at equal rate.
Answer :
step 2 is slowest, while 4 is fastest.
Step 2 involves the formation of carbonium ion by the loss of weakly basic \[{{H}_{2}}O\] molecule. It is slowest step. Step 4 involves the conversion of an unstable ( or intermediate ) into a quite stable product, hence it is fastest step.
247.
The order of reactivity of the following alcohols towards $$conc.$$ $$HCl$$ is
A
I > II > III > IV
B
I > III > II > V
C
IV > III > II > I
D
IV > III > I > II
Answer :
IV > III > II > I
The order of reactivity depends upon the stability of the carbocations formed.
Remember that presence of electron-withdrawing group intensifies i.e., destabilises the carbocation thus (i) and (ii) are less stable than (iii). Further (i); is less stable than (ii) because $$–I$$ effect is more pronounced in (i) due to less distance between $$F$$ and positive charge. Thus the stability order of the four carbocations and reactivity of their parent alcohols will be IV > III > II > I
248.
\[C{{H}_{3}}-CH=C{{H}_{2}}\] \[\xrightarrow[\left( \text{ii} \right)\,NaB{{H}_{4}}]{\left( \text{i} \right)\,Hg{{\left( OAc \right)}_{2}}/{{H}_{2}}O}X+Na\] \[\to Y+C{{H}_{3}}Cl\to Z+HI\] \[\xrightarrow{{{0}^{\circ }}C}A+B\]
What are $$A$$ and $$B ?$$
A
B
C
D
Answer :
Going backward from $$A$$ and $$B$$
249.
Match the column I with column II and mark the appropriate choice.
A
A - i, B - ii, c - iii, D - iv
B
A - ii, B - iii, C - iv, D - i
C
A - iii, B - iv, C - i, D - ii
D
A - iv, B - iii, C - ii, D - i
Answer :
A - ii, B - iii, C - iv, D - i
No explanation is given for this question. Let's discuss the answer together.
250.
Which one of the following compounds will not be soluble in sodium bicarbonate ?
A
2, 4, 6 - Trinitrophenol
B
Benzoic acid
C
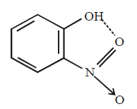
$$o$$ - Nitrophenol
D
Benzene sulphonic acid
Answer :
$$o$$ - Nitrophenol
Due to intramolecular hydrogen bonding this will not be soluble in sodium bicarbonate.