Alcohol, Phenol and Ether MCQ Questions & Answers in Organic Chemistry | Chemistry
Learn Alcohol, Phenol and Ether MCQ questions & answers in Organic Chemistry are available for students perparing for IIT-JEE, NEET, Engineering and Medical Enternace exam.
261.
Tertiary butyl alcohol gives tertiary butyl chloride on treatment with
A
$$\frac{{{\text{conc}}{\text{.}}\,HCl}}{{{\text{anhydrous }}\,ZnC{l_2}}}$$
262.
The major product obtained on interaction of phenol with sodium hydroxide and carbon dioxide is
A
benzoic acid
B
salicylaldehyde
C
salicylic acid
D
phthalic acid
Answer :
salicylic acid
The reaction of phenol with $$NaOH$$ and $$C{O_2}$$ is known as Kolbe-Schmidt or Kolbe's reaction. The product formed is salicylic acid.
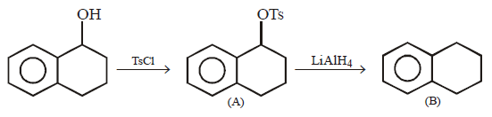
263. \[\xrightarrow[\text{Pyridine}]{TsCl}\left( A \right)\xrightarrow{LiAl{{H}_{4}}}\left( B \right)\]
Product $$(B)$$ of the above reaction is :
A
B
C
D
Answer :
264.
Which of the following is not the product of dehydration of
A
B
C
D
Answer :
Key Concept When intermediate carbocation is stable, no rearrangement takes place in carbocation.
265.
Which of the following species can act as the strongest base?
A
B
C
D
Answer :
Weakest acid has the strongest conjugate base. Since $$ROH$$ is the weakest acid, therefore $$R{O^ - }$$ is the strongest base.
266.
A compound $${C_6}{H_{14}}{O_2}$$ has two tertiary alcoholic groups. The IUPAC name of this compound is
A
2, 3-dimethyl - 1, 2-butanediol
B
3, 3-dimethyl - 1, 2-butanediol
C
2, 3-dimethyl - 2, 3-butanediol
D
2-methyl - 2, 3-pentanediol
Answer :
2, 3-dimethyl - 2, 3-butanediol
\[\underset{\text{2, 3-Dimethyl-2, 3-butanediol}}{\mathop{C{{H}_{3}}\underset{\begin{smallmatrix}
| \\
\,\,\,\,C{{H}_{3}}
\end{smallmatrix}}{\overset{\begin{smallmatrix}
\,\,\,\,OH \\
|
\end{smallmatrix}}{\mathop{-C-}}}\,\underset{\begin{smallmatrix}
|\,\,\,\, \\
C{{H}_{3}}
\end{smallmatrix}}{\overset{\begin{smallmatrix}
OH \\
|\,\,\,\,
\end{smallmatrix}}{\mathop{C-}}}\,C{{H}_{3}}}}\,\]
It has two tertiary alcoholic groups.
267.
The correct acidic order of following is
A
I > II > III
B
III > I > II
C
II > III > I
D
I > III > II
Answer :
III > I > II
The acidic behaviour of phenols may be explained on the basis of two following reasons.
(a) Due to resonance (which is not possible in alcohols), the oxygen atom of the $$- OH$$ group acquires a positive charge which helps in the release of a proton.
(b) In the dissociation of phenol to phenoxide ion and a proton the equilibrium lies mainly towards the right hand side as the resulting phenoxide ion is more stabilised by resonance as compared to phenol.
The acidic strength of phenols depends on the nature of substituents present in the benzene nucleus.
Electron withdrawing groups like $$ - N{O_2}, - CN, - CHO, - COOH,$$ etc, when present at the ortho and $$para$$ - positions with respect to phenolic group increases the acidity of phenol due to greater stabilisation of phenoxide ion. While the presence of electron releasing group like $$ - N{H_2}, - C{H_3},$$ etc, decrease the acidity of phenols. This explains the following order of acidity
$$p$$ - nitrophenol > phenol > $$p$$ - cresol.
268.
A compound that gives a positive iodoform test is
A
1 - pentanol
B
2 - pentanone
C
3 - pentanone
D
pentanal
Answer :
2 - pentanone
TIPS/Formulae :
Compounds having \[\underset{\begin{smallmatrix}
\parallel \\
O
\end{smallmatrix}}{\mathop{-C-}}\,C{{H}_{3}}\] groups show positive
iodoform test.
Hence, \[C{{H}_{3}}-C{{H}_{2}}-C{{H}_{2}}\underset{\begin{smallmatrix}
\parallel \\
O
\end{smallmatrix}}{\mathop{-C-}}\,C{{H}_{3}}\]
( pentanone - 2 ) gives this test.
269.
Propene, $$C{H_3} - CH = C{H_2}$$ can be converted into 1-propanol by oxidation. Indicate which set of reagents amongst the following is ideal to affect the above conversion?
A
$$KMn{O_4}$$ (alkaline)
B
Osmium tetroxide $$\left( {\frac{{Os{O_4}}}{{C{H_2}C{l_2}}}} \right)$$
C
$${B_2}{H_6}$$ and $$alk\,{H_2}{O_2}$$
D
$$\frac{{{O_3}}}{{Zn}}$$
Answer :
$${B_2}{H_6}$$ and $$alk\,{H_2}{O_2}$$
\[\begin{align}
& 3C{{H}_{3}}\,CH=C{{H}_{2}}\xrightarrow{{{B}_{2}}{{H}_{6}}}{{\left( C{{H}_{3}}-C{{H}_{2}}-C{{H}_{2}} \right)}_{3}}B \\
& \xrightarrow[{}]{\frac{{{H}_{2}}{{O}_{2}}}{O{{H}^{-}}}}C{{H}_{3}}-\underset{\text{Propan-}1-ol}{\mathop{C{{H}_{2}}-C{{H}_{2}}}}\,-OH \\
\end{align}\]
Here, half mol of $$\left( {{B_2}{H_6}} \right)$$ diborane react with propane by Markownikoff's addition it gives tripropyl borane called hydroboration. In presence of $${H_2}{O_2}$$ in basic medium tripropyl borane gives alcohol. Remember that product is Anti Markownikoff’s rule that is 1-propanol. Reaction is called hydroboration
oxidation.
270.
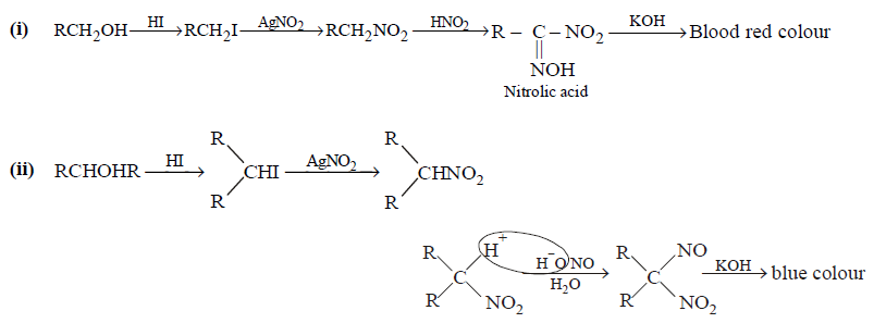
In the Victor-Meyer’s test, the colour given by $${1^ \circ },{2^ \circ }$$ and $${3^ \circ }$$ alcohols are respectively :
A
Red, colourless, blue
B
Red, blue, colourless
C
Colourless, red, blue
D
Red, blue, violet
Answer :
Red, blue, colourless
$$Victor{\text{ }}Meyer's\,\,test:$$ The various steps involved are
\[\left( \text{iii} \right){{R}_{3}}COH\xrightarrow{HI}{{R}_{3}}CI\xrightarrow{AgN{{O}_{2}}}\] \[{{R}_{3}}CN{{O}_{2}}\xrightarrow{HN{{O}_{2}}}\text{No}\,\,\text{reaction}\] \[\xrightarrow{KOH}\text{Colourless}\]