Alcohol, Phenol and Ether MCQ Questions & Answers in Organic Chemistry | Chemistry
Learn Alcohol, Phenol and Ether MCQ questions & answers in Organic Chemistry are available for students perparing for IIT-JEE, NEET, Engineering and Medical Enternace exam.
271.
An optically active alcohol of formula $${C_9}{H_{12}}{O_2}$$ produced the following compound when refluxed with $$KMn{O_4}.$$
The original compound showed these properties also :
What is structure of $$(A)?$$
A
B
C
D
Answer :
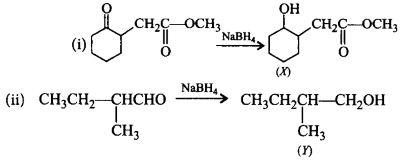
272.
Choose the correct $$X$$ and $$Y$$ in the given reactions.
$$\left( {\text{i}} \right)$$ \[C{{H}_{2}}\underset{\begin{smallmatrix}
\parallel \\
O
\end{smallmatrix}}{\mathop{-C-}}\,OC{{H}_{3}}\xrightarrow{NaB{{H}_{4}}}\left( X \right)\]
\[\left( \text{ii} \right)\underset{\begin{smallmatrix}
|\,\,\, \\
\,C{{H}_{3}}
\end{smallmatrix}}{\mathop{C{{H}_{3}}C{{H}_{2}}CH-CHO}}\,\] \[\xrightarrow{NaB{{H}_{4}}}\left( Y \right)\]
A
B
C
D
Answer :
273.
In the following reaction sequence,
\[C{{H}_{3}}\underset{\begin{smallmatrix}
|\,\,\,\,\,\, \\
OH\,\,\,
\\
\left( X \right)
\end{smallmatrix}}{\mathop{-CH-}}\,C{{H}_{3}}\xrightarrow{\left[ O \right]}Y\] \[\xrightarrow[\frac{{{H}^{+}}}{{{H}_{2}}O}]{C{{H}_{3}}MgBr}Z;Z\] is
A
butan-1-ol
B
butan-2-ol
C
2-methylpropan-2-ol
D
1, 1-dimethylethanol
Answer :
2-methylpropan-2-ol
\[C{{H}_{3}}\underset{\begin{smallmatrix}
|\,\,\,\,\,\, \\
OH\,\,\,
\\
\left( X \right)
\end{smallmatrix}}{\mathop{-CH-}}\,C{{H}_{3}}\]
\[\underset{\left( Y \right)}{\overset{\,\,\,\,\,\,\,\,\left[ O \right]\downarrow }{\mathop{C{{H}_{3}}COC{{H}_{3}}}}}\,\xrightarrow[\frac{{{H}^{+}}}{{{H}_{2}}O}]{C{{H}_{3}}MgBr}\] \[\underset{\begin{smallmatrix}
\text{2-Metbylpropan-2-ol} \\
\left( Z \right)
\end{smallmatrix}}{\mathop{C{{H}_{3}}\underset{\begin{smallmatrix}
| \\
\,\,\,\,C{{H}_{3}}
\end{smallmatrix}}{\overset{\begin{smallmatrix}
\,\,\,\,C{{H}_{3}} \\
|
\end{smallmatrix}}{\mathop{-C-}}}\,OH}}\,\]
274.
The best method to prepare 3-methylbutan-2-ol from 3-methylbut-1-ene is
A
addition of water in presence of dil. $${H_2}S{O_4}$$
B
addition of $$HCl$$ followed by reaction with dil. $$NaOH$$
C
hydroboration - oxidation reaction
D
Reimer-Tiemann reaction
Answer :
addition of water in presence of dil. $${H_2}S{O_4}$$
\[\underset{\text{3-Methylbut-l-ene}}{\mathop{C{{H}_{3}}\underset{\begin{smallmatrix}
|\,\,\,\,\, \\
C{{H}_{3}}\,\,
\end{smallmatrix}}{\mathop{-CH-}}\,CH}}\,=C{{H}_{2}}\xrightarrow[{{H}^{+}}]{{{H}_{2}}O}\] \[\underset{\text{3-Methylbufan-2-ol}}{\mathop{\underset{\begin{smallmatrix}
\,\,\,\,\,\,| \\
\,\,\,\,\,\,\,\,\,C{{H}_{3}}
\end{smallmatrix}}{\mathop{C{{H}_{3}}CH}}\,\underset{\begin{smallmatrix}
|\,\,\,\,\,\, \\
OH\,\,\,
\end{smallmatrix}}{\mathop{-CH-}}\,C{{H}_{3}}}}\,\]
The addition of \[{{H}_{2}}O\] in presence of acid takes place according to Markovnikov's rule.
275.
Which of the following alcohols will give the most stable carbocation during dehydration?
A
2-Methyl-1-propanol
B
2-Methyl-2-propanol
C
1-Butanol
D
2-Butanol
Answer :
2-Methyl-2-propanol
The tertiary carbocation formed during dehydration of 2-methyl-2-propanol is most stable.
276.
Amongst the following alcohols which would react fastest with $$conc.\,HCl$$ and $$ZnC{l_2}?$$
A
pentanol
B
2 - methyl butanol
C
2 - pentanol
D
2 - methyl butan - 2 - $$ol$$
Answer :
2 - methyl butan - 2 - $$ol$$
$$ZnC{l_2} + conc.\,HCl$$ is Lucas reagent. Lucas reagent reacts fastest with tertiary alcohol. $${3^ \circ }$$ alcohol + Lucas reagent = Immediate turbidity
277.
Match the column I with column II and mark the appropriate choice.
Column I
Column II
a.
Methanol
1.
Conversion of phenol to $$o$$ - hydroxysalicylic acid
b.
Kolbe's reaction
2.
Ethyl alcohol
c.
Williamson's synthesis
3.
Conversion of phenol to salicylaldehyde
d.
Conversion of 1° alcohol to aldehyde
4.
Wood spirit
e.
Reimer-Tiemann reaction
4.
Heated copper at 573 $$K$$
f.
Fermentation
4.
Reaction of alkyl halide with sodium alkoxide
A
a - 2, b - 4, c - 1, d - 3, e - 5, f - 6
B
a - 6, b - 5, c - 2, d - 4, e - 1, f - 3
C
a - 4, b - 1, c - 6, d - 5, e - 3, f - 2
D
a - 5, b - 2, c - 4, d - 6, e - 3, f - 1
Answer :
a - 4, b - 1, c - 6, d - 5, e - 3, f - 2
No explanation is given for this question. Let's discuss the answer together.
278.
In the reaction, the products are
A
B
C
D
Answer :
279.
Match the column I with column II and mark the appropriate choice.
Column I
Column II
a.
Hydrolysis of benzene diazonium chloride
1.
$$p$$ - Cresol
b.
Phenol + methyl chloride in presence of anh. $$AlC{l_3}$$
2.
Salicylic acid
c.
Reaction of sodium phenoxide with $$C{O_2}$$
3.
Picric acid
d.
Phenol + Conc. $$HN{O_3}$$
4.
Phenol
A
a - 1, b - 3, c - 2, d - 4
B
a - 2, b - 3, c - 4, d - 1
C
a - 4, b - 1, c - 2, d - 3
D
a - 3, b - 4, c - 1, d - 2
Answer :
a - 4, b - 1, c - 2, d - 3
No explanation is given for this question. Let's discuss the answer together.
280.
Given are cyclohexanol (i), acetic acid (ii), 2, 4, 6 - trinitrophenol (iii) and phenol (iv). In these, the order of decreasing acidic character will be
A
(iii) > (ii) > (iv) > (i)
B
(ii) > (iii) > (i) > (iv)
C
(ii) > (iii) > (iv) > (i)
D
(iii) > (iv) > (ii) > (i)
Answer :
(iii) > (ii) > (iv) > (i)
Key Idea Higher the tendency to give a proton, higher is the acidic character and tendency to lose a proton depends upon the stability of intermediate, i.e. carbanion formed.
2, 4, 6 - trinitrophenol after the loss of a proton gives 2, 4, 6 - trinitrophenoxide ion which is stabilised by resonance, $$-I$$ - effect and $$-M$$ - effect, thus is most acidic among the given compounds.
Phenol after losing a proton form phenoxide ion which is also stabilised by resonance, $$-M$$ and $$-I$$ effects but is less stabilised as compared to 2, 4, 6 - trinitrophenoxide ions. Thus, it is less acidic as compared to 2, 4, 6 - trinitrophenol, $$\left( {C{H_3}COOH} \right)$$ after losing a proton gives acetate
ion which is stabilised by only resonance. However, it is more resonance stabilised as compared to a phenoxide ion, thus more acidic as compared to phenol. 2, 4, 6 - trinitrophenol, however, is more acidic than acetic acid due to the presence of three electron withdrawing $$ - N{O_2}$$ group. Cyclohexanol gives an anion that is least stable among the given, thus, it is least acidic.
Hence, the correct order of acidic strength is 2, 4, 6 - trinitrophenl > acetic acid > phenol > cyclohexanol
(iii) > (ii) > (iv) > (i)