Alcohol, Phenol and Ether MCQ Questions & Answers in Organic Chemistry | Chemistry
Learn Alcohol, Phenol and Ether MCQ questions & answers in Organic Chemistry are available for students perparing for IIT-JEE, NEET, Engineering and Medical Enternace exam.
281.
Which of the following undergoes nucleophilic substitution exclusively by $${S_N}1$$ mechanism?
A
Benzyl chloride
B
Ethyl chloride
C
Chlorobenzene
D
Isopropyl chloride
Answer :
Benzyl chloride
Aliphatic $${S_N}1$$ reaction is carried out in two steps. In form of slow step
Step (i) carbonium (carbocation) ion is formed and its formation is based upon the stability
Stability order of carbocation benzylic carbocation ( resonating stable )
\[{{C}_{6}}{{H}_{5}}C{{\overset{+}{\mathop{H}}\,}_{2}}>C{{H}_{3}}\underset{{{2}^{\circ }}\,\text{carbocation}}{\mathop{-\overset{+}{\mathop{CH}}\,-C{{H}_{3}}}}\,>\] \[\underset{{{1}^{\circ }}\,\text{carbocation}}{\mathop{C{{H}_{3}}-C{{\overset{+}{\mathop{H}}\,}_{2}}}}\,\]
and in step (ii) nucleophile is attracted towards the carbonium ion in form of fast step to give final product.
Hence, in benzyl chloride, ethyl chloride and isopropyl chloride order of $${S_N}1$$ reaction is benzyl chloride > isopropyl chloride > ethyl chloride
In chlorobenzene, mechanism of $${S_N}1$$ reaction differ to aliphatic alkyl halide. The aryl halides are much less reactive as compared to alkyl halides, towards nucleophilic reagents in either $${S_N}1$$ or $${S_N}2$$ reaction.
The carbon-halogen bond in the aryl halide is quite strong and only forcing conditions can break up this bond.
Hence, Step (i)
\[{{C}_{6}}{{H}_{5}}C{{H}_{2}}-Cl\xrightarrow{\text{Slow}}\] \[{{C}_{6}}{{H}_{5}}\overset{+}{\mathop{C}}\,{{H}_{2}}+C{{l}^{-}}\]
$${\text{Rate}} \propto \mathop {\left[ {{C_6}{H_5}C{H_2}Cl} \right]}\limits_{{\text{(First order kinetics)}}} $$ Step (ii)
\[{{C}_{6}}{{H}_{5}}-\overset{+}{\mathop{C}}\,{{H}_{2}}+N{{u}^{-}}\xrightarrow{\text{Fast}}\] \[{{C}_{6}}{{H}_{5}}C{{H}_{2}}Nu\]
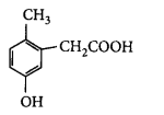
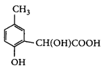
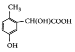
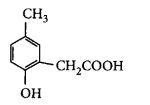
282.
$$p$$ - Cresol reacts with chloroform in alkaline medium to give the compound $$A$$ which adds hydrogen cyanide to form the compound $$B.$$ The latter on acidic hydrolysis gives chiral carboxylic acid. The structure of the carboxylic acid is
A
B
C
D
Answer :
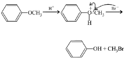
283.
Among the following sets of reactants which one produces anisole?
A
$$C{H_3}CHO,RMgX$$
B
$${C_6}{H_5}OH,NaOH,C{H_3}l$$
C
$${C_6}{H_5}OH,\,{\text{neutral }}FeC{l_3}$$
D
$${C_6}{H_5} - C{H_3},C{H_3}COCl,AlC{l_3}$$
Answer :
$${C_6}{H_5}OH,NaOH,C{H_3}l$$
Williamson's synthesis
284.
When phenol is treated with excess bromine water, it gives :
A
$$m $$ - Bromophenol
B
$$o $$ - and $$p $$ - Bromophenol
C
2, 4 - Dibromophenol
D
2, 4, 6 - Tribromophenol
Answer :
2, 4, 6 - Tribromophenol
NOTE :
The $$ - OH$$ group in phenol, being activating group,
facilitates substitution in the $$o $$ - and $$p$$ - positions.
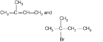
285.
In the following reactions,
the major products $$A$$ and $$C$$ are respectively
A
B
C
D
Answer :
$$A$$ part is major because more substituted alkenes are more stable.
286.
In the reaction the products are
A
B
C
D
Answer :
287.
Which of the following reagents would carry out the following transformation ? $$\left( {D = {}^2H} \right)$$
A
$$NaB{D_4}\,\,{\text{in}}\,\,C{H_3}OH$$
B
$$LiAl{H_4},{\text{then}}\,\,{D_2}O$$
C
$$NaB{D_4}\,\,{\text{in}}\,\,C{H_3}OD$$
D
$$LiAl{D_4},{\text{then}}\,\,{D_2}O$$
Answer :
$$NaB{D_4}\,\,{\text{in}}\,\,C{H_3}OH$$
288.
Which of the following alcohols reacts most readily with Lucas reagent?
A
\[C{{H}_{3}}C{{H}_{2}}C{{H}_{2}}OH\]
B
\[C{{H}_{3}}\underset{\begin{smallmatrix}
|\,\,\,\,\, \\
OH\,\,
\end{smallmatrix}}{\mathop{-CH-}}\,C{{H}_{3}}\]
C
\[C{{H}_{3}}\underset{\begin{smallmatrix}
| \\
\,\,\,C{{H}_{3}}
\end{smallmatrix}}{\overset{\begin{smallmatrix}
\,\,\,\,\,C{{H}_{3}} \\
|
\end{smallmatrix}}{\mathop{-C-}}}\,OH\]
D
\[C{{H}_{3}}\underset{\begin{smallmatrix}
|\,\,\,\,\, \\
C{{H}_{3}}\,
\end{smallmatrix}}{\mathop{-CH-}}\,C{{H}_{2}}OH\]