General Organic Chemistry MCQ Questions & Answers in Organic Chemistry | Chemistry
Learn General Organic Chemistry MCQ questions & answers in Organic Chemistry are available for students perparing for IIT-JEE, NEET, Engineering and Medical Enternace exam.
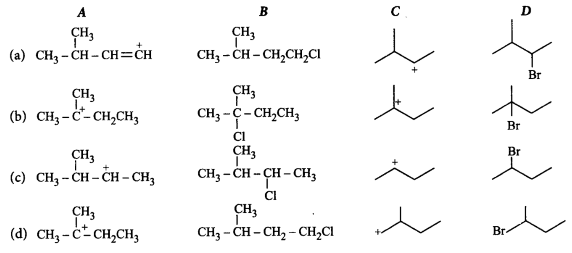
41.
Complete the following reactions by filling most stable intermediate and the product.
\[\left( \text{i} \right)\overset{\begin{smallmatrix}
\,\,\,C{{H}_{3}} \\
|\,\,
\end{smallmatrix}}{\mathop{C{{H}_{3}}-CH-CH}}\,=C{{H}_{2}}+HCl\] \[\to \underset{\text{Intermediate}}{\mathop{\left( A \right)}}\,\xrightarrow{C{{l}^{-}}}\left( B \right)\]
\[\left( \text{ii} \right)\] \[+HBr\to \underset{\text{Intermediate}}{\mathop{\left( C \right)}}\,\xrightarrow{B{{r}^{-}}}\left( D \right)\]
It is due to the presence of $$\alpha $$ - hydrogen atom in $$ - N{O_2}$$ and $$ - NO$$ compounds.
43.
A solution of (+) - 2 - chloro - 2 - phenylethane in toluene racemises slowly in the presence of small amounts of $$SbC{l_5}$$ due to the formation of
A
Carbanion
B
Carbene
C
Free radical
D
Carbocation
Answer :
Carbocation
$$SbC{l_5}$$ pulls $$C{l^ - }$$ to form $$SbCl_6^ - $$ leaving behind planar $${C_6}{H_5} - \mathop C\limits^ + H - C{H_3}$$ carbonium ion. It can be attacked from either side leading to racemic mixture.
44.
Lassaigne's test for the detection of nitrogen fails in
A
$$N{H_2}CONHN{H_2} \cdot HCl$$
B
$$N{H_2}N{H_2} \cdot HCl$$
C
$$N{H_2}CON{H_2}$$
D
$${C_6}{H_5}NHN{H_2} \cdot HCl$$
Answer :
$$N{H_2}N{H_2} \cdot HCl$$
For positive Lassaigne's test $$N$$ should be attached to $$C$$ - atom.
45.
Hyperconjugation involves overlap of the following orbitals
A
$$\sigma - \sigma $$
B
$$\sigma - \pi $$
C
$$p - p$$
D
$$\pi - \pi $$
Answer :
$$\sigma - \pi $$
Alkyl groups with at least one hydrogen atom on the $$\alpha $$ - carbon atom, attached to an unsaturated carbon atom, are able to release electrons in the following way.
Note that the delocalisation involves $$\sigma $$ and $$\pi $$ bond orbitals (or $$p$$ orbitals in case of free radicals) ; thus it is also known
as $$\sigma - \pi $$ conjugation. This type of electron release due to the presence of the system $$H - C - C = C$$ is known as
hyperconjugation.
46.
Allyl isocyanide has
A
$$9\,\sigma \,\,{\text{and}}\,\,4\,\pi {\text{ - }}\,{\text{bonds}}$$
B
$$8\,\sigma \,\,{\text{and}}\,\,5\,\pi {\text{ - }}\,{\text{bonds}}$$
C
$$9\,\sigma ,3\,\pi \,\,{\text{and}}\,\,2\,{\text{non}}\,{\text{ - bonded electrons}}$$
D
$$8\,\sigma ,3\,\pi \,\,{\text{and}}\,\,4\,{\text{non}}\,{\text{ - bonded electrons}}$$
Allyl isocyanide has the structure
$${H_2}C = CH - C{H_2} - N\mathop = \limits^ \to C$$
it has $$9\sigma $$ and $$3\pi $$ bonds along with 2 nonbonded electrons
47.
Which of the following is not chiral?
A
2-butanol
B
2, 3-dibromo pentane
C
3-bromo pentane
D
2-hydroxy propanoic acid
Answer :
3-bromo pentane
Hence, 3-bromopentane is not a chiral molecule due to absence of chiral $$C-atom.$$
48.
$$1.4\,kg$$ of an organic compound was digested according to Kjeldahl’s method and the ammonia evolved was absorbed in $$60\,mL$$ of $$\frac{M}{{10}}\,{H_2}S{O_4}$$ solution. The excess sulphuric acid required $$20\,mL$$ of $$\frac{M}{{10}}\,NaOH$$ solution for neutralization. The percentage of nitrogen in the compound is :