Isomerism MCQ Questions & Answers in Organic Chemistry | Chemistry
Learn Isomerism MCQ questions & answers in Organic Chemistry are available for students perparing for IIT-JEE, NEET, Engineering and Medical Enternace exam.
21.
Which of the following does not show geometrical
isomerism?
A
1, 2 - dichloro - 1 - pentene
B
1, 3 - dichloro - 2 - pentene
C
1, 1 - dichloro - 1 - pentene
D
1, 4 - dichloro - 2 - pentene
Answer :
1, 1 - dichloro - 1 - pentene
does not show
geometrical isomerism due to presence of two similar $$Cl$$ atoms on the same $$C-$$ atom. Geometrical isomerism is shown by compounds in which the groups/atoms attached to $$C = C$$ are different.
22.
Identify the compound that exhibits tautomerism :
A
2 - Butene
B
Lactic acid
C
2 - Pentanone
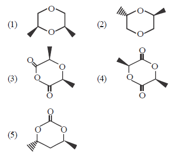
D
Phenol
Answer :
2 - Pentanone
23.
Which of the following compounds are meso forms ?
A
1 only
B
3 only
C
1 and 2
D
2 and 3
Answer :
3 only
Meso → Compounds having chiral centres and have plane or centre of symmetry are
known as meso compound.
24.
Which of the following is not a resonance form of the enolate ion formed in the following acid base equilibrium
A
B
C
D
Answer :
(A), (C) and (D) are resonating structures.
25.
Identify which of the strucutre below are meso structures ?
A
1 and 3
B
1, 3 and 5
C
1, 3 and 4
D
2 and 5
Answer :
1 and 3
Meso compounds are those having 2 or more chiral centers along with symmetry.
26.
Increasing order of stability among the three main
conformations ( i.e. Eclipse, Anti, Gauche ) of 2 - fluoroethanol
is
A
Eclipse, Anti, Gauche
B
Anti, Gauche, Eclipse
C
Eclipse, Gauche, Anti
D
Gauche, Eclipse, Anti
Answer :
Eclipse, Anti, Gauche
Due to hydrogen bonding between $$H$$ & $$F$$ gauche
conformation is most stable hence the correct order is Eclipse, Anti, Gauche
27.
The correct statement about the compounds $$A, B,$$ and $$C$$
A
$$A$$ and $$B$$ are identical
B
$$A$$ and $$B$$ are diastereomers
C
$$A$$ and $$C$$ are enantiomers
D
$$A$$ and $$B$$ are enantiomers
Answer :
$$A$$ and $$B$$ are enantiomers
Rotation of $$B$$ through $${180^ \circ }$$ within the plane of the paper gives $$D$$ which is an enantiomer of $$A,$$ hence $$A$$ and $$B$$ are enantiomers
28.
An optically active compound $$(A)$$ is treated with $$NaI$$ /acetone $$(B)$$ is obtained
What is true about $$(B)?$$
A
optically active
B
optically inactive and racemic form
C
optically inactive
D
None of these
Answer :
optically inactive and racemic form
The reaction proceeds through planar leading to racemisation.
29.
How many optically active stereoisomers are possible for butane - 2, 3 - diol?