Learn Organic Compounds Containing Nitrogen MCQ questions & answers in Organic Chemistry are available for students perparing for IIT-JEE, NEET, Engineering and Medical Enternace exam.
121.
A compound $$'A'$$ when treated with \[HN{{O}_{3}}\] ( in presence of \[{{H}_{2}}S{{O}_{4}}\] ) gives compound $$'B',$$ which is then reduced with $$Sn$$ and $$HCl$$ to aniline ? The compound $$'A'$$ is
A
toluene
B
benzene
C
ethane
D
acetamide
Answer :
benzene
\[A\xrightarrow{HN{{O}_{3}}/{{H}_{2}}S{{O}_{4}}}B\xrightarrow{Sn/HCl}{{C}_{6}}{{H}_{5}}N{{H}_{2}}\]
This indicates that $$B$$ is \[{{C}_{6}}{{H}_{5}}N{{O}_{2}}\] and hence $$A$$ is \[{{C}_{6}}{{H}_{6}}\]
122.
The source of nitrogen in Gabriel synthesis of amines is
A
sodium azide, $$Na{N_3}$$
B
sodium nitrite, $$NaN{O_2}$$
C
potassium cyanide, $$KCN$$
D
potassium phthalimide, $${C_6}{H_4}{\left( {CO} \right)_2}{N^ - }{K^ + }$$
No explanation is given for this question. Let's discuss the answer together.
123.
Tertiary amines have lowest boiling points amongst isomeric amines because
A
they have highest molecular mass
B
they do not form hydrogen bonds
C
they are more polar in nature
D
they are most basic in nature
Answer :
they do not form hydrogen bonds
Primary and secondary amines can form hydrogen bonds whereas tertiary amines fail to do so. Hence, their boiling points are lowest.
124.
Phenyl isocyanides are prepared from which of the following reaction?
A
Rosenmund's reaction
B
Carbylamine reaction
C
Reimer - Tiemann reaction
D
Wurtz reaction
Answer :
Carbylamine reaction
Both aliphatic and aromatic primary amines react with chloroform and alc. $$KOH$$ to give isocyanides or carbylamines and the reaction is known as carbylamine reaction.
$${C_6}{H_5}N{H_2} + CHC{l_3} + \mathop {3KOH}\limits_{{\text{(alc}}{\text{.)}}} \to $$ \[\underset{\begin{smallmatrix}
\text{Phenyl} \\
\text{isocyanide}
\end{smallmatrix}}{\mathop{{{C}_{6}}{{H}_{5}}NC}}\,+3KCl+3{{H}_{2}}O\]
125.
The compound which on reaction with aqueous nitrous acid at low temperature produces an oily nitrosamine is
A
methylamine
B
ethylamine
C
diethylamine
D
triethylamine
Answer :
diethylamine
NOTE : Secondary amines ( aliphatic as well as aromatic ) react with nitrous acid to form N - nitrosoamines.
$${\left( {{C_2}{H_5}} \right)_2}NH + HONO \to $$ $$\mathop {{{\left( {{C_2}{H_5}} \right)}_2}N - N = O + {H_2}O}\limits_{{\text{N - Nitrosodiethylamine}}} $$
126.
Predict the product
A
B
C
D
Answer :
Both aliphatic and aromatic secondary amines reacts with $$NaN{O_2} + HCl$$ or $$\left( {HN{O_2}} \right)$$ to form $$N$$ - nitrosamines which are insoluble in dilute mineral acids and separate out as neutral yellow oily compounds.
127.
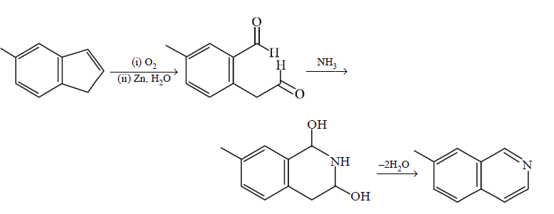
In the following reactions, the product $$S$$ is \[\xrightarrow[\text{ii}.\,Zn,\,{{H}_{2}}O]{\text{i}.\,{{O}_{3}}}R\xrightarrow{N{{H}_{3}}}S\]
A
B
C
D
Answer :
128.
When aniline is heated with conc. $${H_2}S{O_4}$$ at $$455 - 475\,K,$$ it forms
A
aniline hydrogensulphate
B
sulphanilic acid
C
amino benzene sulphonic acid
D
benzenesulphonic acid
Answer :
sulphanilic acid
No explanation is given for this question. Let's discuss the answer together.
129.
Identify the correct pathway to convert propanoic acid to ethylamine. The reagent represented by $$A, B$$ and $$C$$ are \[C{{H}_{3}}C{{H}_{2}}COOH\xrightarrow{A}X\xrightarrow{B}\] \[Y\xrightarrow{C}C{{H}_{3}}C{{H}_{2}}N{{H}_{2}}\]
$$A$$
$$B$$
$$C$$
(a)
$$Ca{\left( {OH} \right)_2}$$
Heat
$$Pt/{H_2}$$
(b)
$$SOC{l_2}$$
$$N{H_3}$$
$$B{r_2}/KOH$$
(c)
$$HN{O_2}$$
$$P + {I_2}$$
$$LiAl{H_4}$$
(d)
$$HCN$$
$$N{H_3}$$
$$B{r_2}/KOH$$
A
(a)
B
(b)
C
(c)
D
(d)
Answer :
(b)
No explanation is given for this question. Let's discuss the answer together.
130.
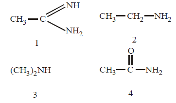
The correct order of basicities of the following compounds is
A
2 > 1 > 3 > 4
B
1 > 3 > 2 > 4
C
3 > 1 > 2 > 4
D
1 > 2 > 3 > 4
Answer :
1 > 3 > 2 > 4
Guanidine is most basic because its conjugate acid is stabilized by two equivalent resonance structures,.
Further $${2^ \circ }$$ amines are more basic than $${1^ \circ },$$ while amides are least basic due to delocalisation of the lone pair of electrons on $$N$$
Thus the correct order of basicities is