Learn Organic Compounds Containing Nitrogen MCQ questions & answers in Organic Chemistry are available for students perparing for IIT-JEE, NEET, Engineering and Medical Enternace exam.
131.
Which of the following reagents would not be a good choice for reducing an aryl nitro compound to an amine?
A
$$\frac{{{H_{2\left( {{\text{excess}}} \right)}}}}{{Pt}}$$
$$LiAl{H_4}$$ in ether reduces aryl nitro compounds to azo compounds.
\[\underset{\text{Nitrobenzene}}{\mathop{2{{C}_{6}}{{H}_{5}}N{{O}_{2}}}}\,\xrightarrow{\frac{LiAl{{H}_{4}}}{\text{ether}}}\] \[\underset{\text{ Diazobenzene}}{\mathop{{{C}_{6}}{{H}_{5}}-N=N-{{C}_{6}}{{H}_{5}}}}\,\]
132.
Identify the prdouct $$C$$ in the series \[C{{H}_{3}}CN\xrightarrow{Na/{{C}_{2}}{{H}_{5}}OH}A\xrightarrow{HN{{O}_{2}}}\] \[B\xrightarrow{Cu/573K}C\]
A
\[C{{H}_{3}}COOH\]
B
\[C{{H}_{3}}C{{H}_{2}}NHOH\]
C
\[C{{H}_{3}}CON{{H}_{2}}\]
D
\[C{{H}_{3}}CHO\]
Answer :
\[C{{H}_{3}}CHO\]
\[C{{H}_{3}}CN\xrightarrow{Na/{{C}_{2}}{{H}_{5}}OH}\underset{\left( A \right)}{\mathop{C{{H}_{3}}C{{H}_{2}}N{{H}_{2}}}}\,\] \[\xrightarrow{HN{{O}_{2}}}\underset{\left( B \right)}{\mathop{C{{H}_{3}}C{{H}_{2}}OH}}\,\xrightarrow[573\,K]{Cu}\underset{\left( C \right)}{\mathop{C{{H}_{3}}CHO}}\,\]
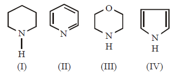
133.
The order of basicity of the compounds is
A
IV > I > III > II
B
I > III > II > IV
C
III > I > IV > II
D
II > I > III > IV
Answer :
I > III > II > IV
The order of basicity is I > III > II > IV.
The lone pair of electrons on $$N$$ is more readily available for protonation in I and III then in II. III contains an oxygen atom which has $$ā I$$ effect due to which it is less basic than I. In compound IV lone pair of $${e^ - }s$$ on $$Nā$$ atom is contributed towards the aromatic sextet formation and hence is not at all available for protonation. Hence option (B) is correct.
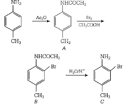
134.
The final product $$C,$$ obtained in this reaction \[\xrightarrow{A{{c}_{2}}O}A\xrightarrow[C{{H}_{3}}COOH]{B{{r}_{2}}}B\xrightarrow[{{H}^{+}}]{{{H}_{2}}O}C\]
would be
A
B
C
D
Answer :
135.
Acetamide and ethyl amine can be distinguished by reacting with
A
$$aq.\,HCl$$ and heat
B
$$aq.\,NaOH$$ and heat
C
acidified $$KMn{O_4}$$
D
bromine water
Answer :
$$aq.\,NaOH$$ and heat
When acetamide is heated with $$aq.$$ $$NaOH$$ it forms $$N{H_3}$$ gas but ethylamine cannot form $$N{H_3}.$$
\[C{{H}_{3}}CON{{H}_{2}}+{{H}_{2}}O\xrightarrow{NaOH\Delta }\] \[C{{H}_{3}}COONa+N{{H}_{3}}\]
\[C{{H}_{3}}C{{H}_{2}}N{{H}_{2}}+{{H}_{2}}O\xrightarrow{NaOH\Delta }\] \[\text{No reaction}\]
136.
An organic compound $$A$$ upon reacting with $$N{H_3}$$ gives $$B$$ On heating $$B$$ gives $$C$$ . $$C$$ in presence of $$KOH$$ reacts with $$B{r_2}$$ to given $$C{H_3}C{H_2}N{H_2}.$$ $$A$$ is :
A
$$C{H_3}COOH$$
B
$$C{H_3}C{H_2}C{H_2}COOH$$
C
\[C{{H}_{3}}\underset{\begin{smallmatrix}
|\,\,\,\,\, \\
C{{H}_{3}}\,
\end{smallmatrix}}{\mathop{-CH-}}\,COOH\]
D
$$C{H_3}C{H_2}COOH$$
Answer :
$$C{H_3}C{H_2}COOH$$
\[\underset{\left( \text{I} \right)}{\mathop{A\xrightarrow{N{{H}_{3}}}}}\,B\underset{\left( \text{II} \right)}{\mathop{\xrightarrow{\Delta }}}\,C\underset{\left( \text{III} \right)}{\mathop{\xrightarrow[KOH]{B{{r}_{2}}}}}\,\] \[C{{H}_{3}}C{{H}_{2}}N{{H}_{2}}\]
Reaction (III) is a Hofmann bromamide reaction formation of $$C{H_3}C{H_2}N{H_2}$$ is possible only from a compound $$C{H_3}C{H_2}CON{H_2}$$ which can be obtained from the compound $$C{H_3}C{H_2}CO{O^ - }NH_4^ + \left( B \right)$$ in
(II) reaction
further propanic acid $$\left( {C{H_3}C{H_2}COOH} \right)$$ on reaction with $$N{H_3}$$ produce $$C{H_3}C{H_2}CO{O^ - }NH_4^ - $$ ( reaction I ) hence the reaction will be
137.
Most basic species amongst the following is
A
B
C
D
Answer :
It is a secondary amine.
138.
Which one of the following is aromatic amine?
A
B
C
D
Answer :
No explanation is given for this question. Let's discuss the answer together.
139.
The decreasing order of boiling points of isomeric amines is $$p$$ - amine > $$s$$ - amine > $$t$$ - amine. This trend of boiling point can be explained as
A
boiling point increases with increase in molecular mass
B
tertiary amines have highest boiling point due to highest basicity
C
intermolecular hydrogen bonding is maximum in primary amines and absent in tertiary amines
D
intramolecular hydrogen bonding is present in tertiary amines
Answer :
intermolecular hydrogen bonding is maximum in primary amines and absent in tertiary amines
More the number of hydrogen atoms linked with nitrogen more will be the intermolecular hydrogen bonding and hence more will be the boiling point. Since $${1^ \circ }$$ amines have two, $${2^ \circ }$$ amines have one while $${3^ \circ }$$ amines have no hydrogen linked to nitrogen, therefore, $${1^ \circ }$$ amines have the highest while $${3^ \circ }$$ amines have the lowest boiling point.
140.
Amides can be converted into amines by a reaction named after
A
Hoffmann
B
Claisen
C
Perkin
D
Kekule
Answer :
Hoffmann
When a primary amide is treated with anqueous solution of potassium hydroxide and bromine, it gives a primary amine which has one carbon atom less than the original amide and the reaction is known as Hoffmann bromamide reaction.