Learn Organic Compounds Containing Nitrogen MCQ questions & answers in Organic Chemistry are available for students perparing for IIT-JEE, NEET, Engineering and Medical Enternace exam.
201.
Acetaldoxime reacts with \[{{P}_{2}}{{O}_{5}}\] to give
202.
Arrange the following amines in the decreasing order of basicity :
A
I > II > III
B
III > I > II
C
III > II > I
D
I > III > II
Answer :
III > I > II
Compound, is most basic as the lone pair of nitrogen is easily available for the donation.
In case of compound lone pair is not involved in resonance but nitrogen atom is $$S{p^2}$$ hybridsed whereas in compound II the lone pair of nitrogen is involved in aromaticity which makes it least basic.
203.
The reaction \[\overset{+\,\,\,}{\mathop{Ar{{N}_{2}}C{{l}^{-}}}}\,\xrightarrow{Cu/HCl}ArCl+{{N}_{2}}\] \[+\,CuCl\] is named as _________.
A
Sandmeyer reaction
B
Gatterman reaction
C
Claisen reaction
D
Carbylamine reaction
Answer :
Gatterman reaction
No explanation is given for this question. Let's discuss the answer together.
204.
Which of the following has highest $$p{K_b}$$ value?
A
$${\left( {C{H_3}} \right)_3}CN{H_2}$$
B
$$N{H_3}$$
C
$${\left( {C{H_3}} \right)_2}NH$$
D
$$C{H_3}N{H_2}$$
Answer :
$$N{H_3}$$
Higher the basicity, lower is the $$p{K_b}$$ value. Since $$N{H_3}$$ is the weakest base, hence it has highest $$p{K_b}$$ value.
205.
For nitration of aniline, which of the following steps is followed?
A
Direct nitration using nitrating mixture $$\left( {{\text{conc}}{\text{.}}\,HN{O_3} + {\text{conc}}{\text{.}}\,{H_2}S{O_4}} \right)$$ followed by oxidation.
B
Using fuming $$HN{O_3}$$ carrying out reaction at $$273\,K$$ followed by hydrolysis.
C
Using $$NaN{O_2}$$ and $$HCl$$ followed by reaction with conc. $$HN{O_3}$$ followed by hydrolysis.
D
Acetylation followedby nitration and hydrolysis.
Answer :
Acetylation followedby nitration and hydrolysis.
$$ - N{H_2}$$ group is oxidised on direct nitration hence $$ - N{H_2}$$ group is blocked by acetylation and then nitration is carried out.
206.
The correct increasing order of basic strength for the following compounds is
A
II < III < I
B
III < I < II
C
III < II < I
D
II < I < III
Answer :
II < I < III
Thinking process This type of problem can be solved by application of electron- withdrawing and electron donating group.
In III $$- C{H_3}$$ group is an electron donating and $$o/p$$ directing group which increase the electron density on benzene ring at $$ortho$$ or $$para$$ position while in II, $$ - N{O_2}$$ group is an electron withdrawing group which decrease the electron density on benzene ring. Hence, the III is more basic than II. In I, there is no substituent attached, due to which I is more basic than II and less basic than III.
Therefore, the correct order of basic strength of above compounds is II < I < III.
207.
Among the following amines, the strongest $${\rm{Br\ddot onsted}}$$ base is ________.
A
B
C
D
Answer :
is the strongest $${\rm{Br\ddot onsted}}$$ base as there is no delocalisation of lone pair of electrons of $$N$$ atom which is possible in aniline and in pyrrole.
208.
The most basic amine among the following is
A
B
C
D
Answer :
Only $$ - C{H_3}$$ group is electron donating group hence it increases the electron density on nitrogen making it most basic.
209.
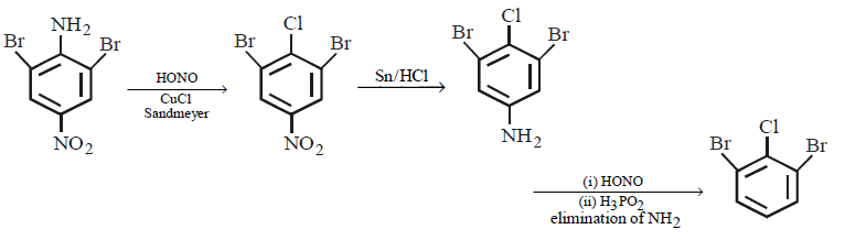
The product – $$(C)$$ obtained in the following sequence of reactions is \[\xrightarrow[\left( 2 \right)\,CuCl]{\left( 1 \right)\,HONO}A\xrightarrow{Sn/HCl}B\xrightarrow[\left( 2 \right)\,{{H}_{3}}P{{O}_{2}}]{\left( 1 \right)\,HONO}C\]
A
B
C
D
Answer :
210.
\[{{C}_{6}}{{H}_{5}}N{{O}_{2}}\xrightarrow{Sn/HCl}P\xrightarrow[HCl]{NaN{{O}_{2}}}\] \[Q\xrightarrow[\Delta ]{HB{{F}_{4}}}R\]
The end product $$R$$ in the given sequence of reactions is
A
benzoic acid
B
fluorobenzene
C
phenol
D
chlorobenzene
Answer :
fluorobenzene
No explanation is given for this question. Let's discuss the answer together.