Learn Organic Compounds Containing Nitrogen MCQ questions & answers in Organic Chemistry are available for students perparing for IIT-JEE, NEET, Engineering and Medical Enternace exam.
211.
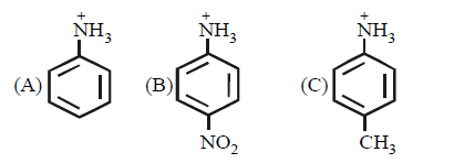
Arrange the following three compounds in order of decreasing acidity
A
B > A > C
B
B > C > A
C
C > B > A
D
C > A > B
Answer :
B > A > C
The electrons withdrawing groups decrease the basic character and increase the acid character by inductive effect and resonance.
212.
An organic compound $$(X)$$ was treated with sodium nitrite and $$HCl$$ in ice cold conditions. Bubbles of nitrogen gas were seen coming out. The compound $$(X)$$ may be
A
a secondary aliphatic amine
B
a primary aromatic amine
C
a primary aliphatic amine
D
a tertiary amine
Answer :
a primary aliphatic amine
Primary aliphatic amines form alcohols with the evolution of $${N_2}$$ on reaction with $$NaN{O_2}$$ and $$HCl.$$
\[RN{{H}_{2}}+NaN{{O}_{2}}\xrightarrow{HCl}\] \[ROH+{{N}_{2}}\uparrow +{{H}_{2}}O\]
213.
A given nitrogen-containing aromatic compound $$A$$ reacts with $$Sn/HCl,$$ followed by $$HN{O_2}$$ to give an unstable compound $$B.$$ $$B,$$ on treatment with phenol, forms a beautify coloured compound $$C$$ with the molecular formula $${C_{12}}{H_{10}}{N_2}O.$$ The structure of compound $$A$$ is
A
B
C
D
Answer :
The complete road map of the reaction can be seen as
214.
In the following reaction,
$$C{H_3}N{H_2} + CHC{l_3} + KOH \to $$ $${\text{Nitrogen containing compound}}$$ $$ + KCl + {H_2}O.$$
The nitrogen containing compound is
Thisis an example of carbylamine reaction
$$CHC{l_3} + RN{H_2} + KOH \to $$ $$R - {N^ + } \equiv {C^ - } + 3KCl + 3{H_2}O$$
215.
In a set of reactions $$p$$ - nitrotoluene yielded a product $$E.$$ \[\xrightarrow[FeB{{r}_{3}}]{B{{r}_{2}}}B\xrightarrow{Sn/HCl}C\xrightarrow[HCl]{NaN{{O}_{2}}}D\xrightarrow[HBr]{CuBr}E\]
The product $$E$$ would be :
A
B
C
D
Answer :
216.
Benzenediazonium chloride cannot be stored and is used immediately after its preparation because
A
it slowly evaporates on storage
B
it is very unstable and dissociates to give nitrogen
C
it gets oxidised in air hence cannot be stored
D
it reacts with all the containers in which it is stored
Answer :
it is very unstable and dissociates to give nitrogen
No explanation is given for this question. Let's discuss the answer together.
217.
In the acidic reduction of nitrobenzene, which of the following is the intermediate ?
A
$${C_6}{H_5} - N = O$$
B
$${C_6}{H_5}NH - NH{C_6}{H_5}$$
C
$${C_6}{H_5} - N = N - {C_6}{H_5}$$
D
\[{{C}_{6}}{{H}_{5}}-N=\overset{\begin{smallmatrix}
O \\
\uparrow
\end{smallmatrix}}{\mathop{N}}\,-{{C}_{6}}{{H}_{5}}\]
Answer :
$${C_6}{H_5} - N = O$$
Nitrobenzene is reduced in the following manner through various intermediates to form aniline as the final product.
\[\underset{\text{nitrobenzene}}{\mathop{{{C}_{6}}{{H}_{5}}N{{O}_{2}}}}\,\xrightarrow{2\left[ H \right]}\underset{\text{nitrosobenzene}}{\mathop{{{C}_{6}}{{H}_{5}}NO}}\,\xrightarrow{2\left[ H \right]}\underset{\text{phenylhydroxylamine}}{\mathop{{{C}_{6}}{{H}_{5}}NHOH}}\,\xrightarrow{2\left[ H \right]}\underset{\text{aniline}}{\mathop{{{C}_{6}}{{H}_{5}}N{{H}_{2}}}}\,\]
218.
Reduction of aromatic nitro compounds using $$Sn$$ and $$HCl$$ gives
A
aromatic primary amines
B
aromatic secondary amines
C
aromatic tertiary amines
D
aromatic amides
Answer :
aromatic primary amines
219.
When an optically active amine $$(A)$$ having molecular formula $${C_4}{H_{11}}N$$ is subjected to Hoffmann's exhaustive methylation followed by hydrolysis, an alkene $$(B)$$ is produced which upon ozonolysis and subsequent hydrolysis yields formaldehyde and propanal. The amine $$'A'$$ is
A
\[\underset{\begin{smallmatrix}
|\,\,\,\,\,\,\,\,\,\,\,\,\,\,\,\,\,\,\, \\
N{{H}_{2}}\,\,\,\,\,\,\,\,\,\,\,\,\,\,
\end{smallmatrix}}{\mathop{C{{H}_{3}}CHC{{H}_{2}}C{{H}_{3}}}}\,\]
B
\[\underset{\begin{smallmatrix}
\,\,\,\,| \\
\,\,\,\,\,\,\,C{{H}_{3}}
\end{smallmatrix}}{\mathop{C{{H}_{3}}NH-CH-C{{H}_{3}}}}\,\]
C
\[\underset{\begin{smallmatrix}
|\,\,\,\,\,\,\,\,\,\,\,\,\,\, \\
C{{H}_{3}}\,\,\,\,\,\,\,\,\,\,
\end{smallmatrix}}{\mathop{C{{H}_{3}}NC{{H}_{2}}C{{H}_{3}}}}\,\]
220.
In the compound given below the correct order of the acidity of the positions $$X,Y$$ and $$Z$$ is
A
$$Z > X > Y$$
B
$$X > Y > Z$$
C
$$X > Z > Y$$
D
$$Y > X > Z$$
Answer :
$$X > Y > Z$$
(i) Position $$\left( X \right)$$ is most acidic due to $$ - COOH$$ group.
(ii) $$ - N{H_3}^ + $$ group at position $$Y$$ is more acidic than at $$Z$$ because of presence of electron withdrawing $$ - COOH$$ group in close proximity. Hence $$ - N{H_3}^ + $$ group at position $$Z$$ is least acidic.