Solutions MCQ Questions & Answers in Physical Chemistry | Chemistry
Learn Solutions MCQ questions & answers in Physical Chemistry are available for students perparing for IIT-JEE, NEET, Engineering and Medical Enternace exam.
251.
Intermolecular forces between $$n$$ - hexane and $$n$$ - heptane are nearly same as between hexane and heptane individually. When these two are mixed, which of the following is not true about the solution formed ?
A
It obeys Raoult's law, i.e. $${p_A} = {x_A}p_{\text{A}}^{\text{o}}$$ and $${p_B} = {x_B}p_B^{\text{o}}$$
B
$$\Delta {H_{{\text{mixing}}}}$$ is zero
C
$$\Delta {V_{{\text{mixing}}}}$$ is zero
D
It forms minimum boiling azeotrope.
Answer :
It forms minimum boiling azeotrope.
Azeotropes are formed by the solutions which show deviations from ideal behaviour.
252.
$$25.3\,g$$ of sodium carbonate, $$N{a_2}C{O_3}$$ is dissolved in enough water to make $$250\, mL$$ of solution. If sodium carbonate dissociates completely, molar concentration of sodium ion, $$N{a^ + }$$ and carbonate ion, $$CO_3^{2 - }$$ are respectively ( Molar mass of $$N{a_2}C{O_3} = 106\,g\,mo{l^{ - 1}}$$ )
A
$$0.955\,M\,{\text{and}}\,1.910\,M$$
B
$$1.910\,M\,{\text{and}}\,0.955\,M$$
C
$$1.90\,M\,{\text{and}}\,1.910\,M$$
D
$$0.477\,M\,{\text{and}}\,0.477\,M$$
Answer :
$$1.910\,M\,{\text{and}}\,0.955\,M$$
$$\eqalign{
& {\text{Molarity}} \cr
& = \frac{{{\text{Number of moles of solute}}}}{{{\text{Volume of solution (in }}mL{\text{)}}}} \times 1000 \cr
& = \frac{{25.3 \times 1000}}{{106 \times 250}} \cr
& = 0.9547 \approx 0.955\,M \cr} $$
$$N{a_2}C{O_3}$$ in aqueous solution remains dissociated as
$$\mathop {N{a_2}C{O_3}}\limits_x \rightleftharpoons \mathop {2\,N{a^ + }}\limits_{2x} + \mathop {CO_3^{2 - }}\limits_x $$
Since, the molarity of $$N{a_2}C{O_3}$$ is $$0.955\,M,$$ the molarity of $$CO_3^{2 - }$$ is also $$0.955\,M$$ and that of $$N{a^ + }$$ is $$2 \times 0.955 = 1.910\,M$$
253.
The Henry's law constant for the solubility of $${N_2}$$ gas in water at $$298\,K$$ is $$1.0 \times {10^5}\,atm.$$ The mole fraction of $${N_2}$$ in air is $$0.8.$$ The number of moles of $${N_2}$$ from air dissolved in $$10\,moles$$ of water at $$298\,K$$ and $$5\,atm$$ pressure is
254.
A solution has 1 : 4 $$mole$$ ratio of pentane to hexane. The vapour pressure of the pure hydrocarbons at $${20^ \circ }C$$ are $$440\,mm$$ of $$Hg$$ for pentane and $$120$$ $$mm$$ of $$Hg$$ for hexane. The mole fraction of pentane in the vapour phase would be
A
0.549
B
0.200
C
0.786
D
0.478
Answer :
0.478
Total vapour pressure of mixture
= Vapour pressure of pentane in mixture + vapour pressure of hexane in mixture
Since, the ratio of pentane to hexane = 1 : 4
$$\therefore $$ $$Mole$$ fraction of pentane $$ = \frac{1}{5}$$
$$Mole$$ fraction of hexane $$ = \frac{4}{5}$$
= ( $$mole$$ fraction of pentane × vapour pressure of pentane ) + ( $$mole$$ fraction of hexane × vapour pressure of hexane)
$$\eqalign{
& = \left( {\frac{1}{5} \times 440 + \frac{4}{5} \times 120} \right) \cr
& = 184\,mm \cr} $$
$$\because $$ Vapour pressure of pentane in mixture
= Vapour pressure of mixture × $$mole$$ fraction of pentane in vapour phase
$$88 = 184 \times mole$$ fraction of pentane in vapour phase
$$\therefore $$ $$Mole$$ fraction of pentane in vapour phase
$$ = \frac{{88}}{{184}} = 0.478$$
255.
What are the conditions for an ideal solution which obeys Raoult's law over the entire range of concentration ?
For an ideal solution $$\Delta H$$ and $$\Delta V$$ for mixing should be zero. $${P_{{\text{Total}}}} = {p_A} + {p_B}$$ and $$A - A,B - B$$ and $$A - B$$ interactions are nearly same.
256.
Sea water is $$3.5\% $$ by mass of common salt and has a density $$1.04\,g\,c{m^{ - 3}}$$ at $$293\,K.$$ Assuming the salt to be sodium chloride, then osmotic pressure of sea water will be ( assume complete ionisation of the salt )
257.
If $$0.1\,M$$ solution of glucose and $$0.1\,M$$ solution of urea are placed on two sides of the semipermeable membrane to equal heights, then it will be correct to say that
A
there will be no net movement across the membrane
B
glucose will flow towards urea solution
C
urea will flow towards glucose solution
D
water will flow from urea solution to glucose
Answer :
there will be no net movement across the membrane
As both the solutions are isotonic hence there is no net movement of the solvent through the semipermeable membrane between two solutions.
258.
For which of the following solutes the van't Hoff factor is not greater than one ?
A
$$NaN{O_3}$$
B
$$BaC{l_2}$$
C
$${K_4}\left[ {Fe{{\left( {CN} \right)}_6}} \right]$$
D
$$N{H_2}CON{H_2}$$
Answer :
$$N{H_2}CON{H_2}$$
Urea is non-electrolyte, hence will not dissociate to give ions.
259.
The vapour pressure of two pure liquids $$A$$ and $$B$$ that form an ideal solution, are $$400$$ and $$800$$ $$mm$$ of $$Hg$$ respectively at a temperature $${t^ \circ }C.$$ The $$mole$$ fraction of $$A$$ in a solution of $$A$$ and $$B$$ whose boiling point is $${t^ \circ }C$$ will be
260.
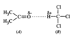
When acetone and chloroform are mixed together, which of the following observations is correct ?
A
$$A - A$$ and $$B - B$$ interactions are stronger than $$A - B$$ interactions.
B
$$A - A$$ and $$B - B$$ interactions are weaker than $$A - B$$ interactions.
C
$$A - A, B - B$$ and $$A - B$$ interactions are equal.
D
The liquids form separate layers and are immiscible.
Answer :
$$A - A$$ and $$B - B$$ interactions are weaker than $$A - B$$ interactions.
When acetone and chloroform are mixed together, a hydrogen bond is formed between them which increases intermolecular interactions. Hence, $$A - B$$ interactions are stronger than $$A - A$$ and $$B - B$$ interactions.