Gravitation MCQ Questions & Answers in Basic Physics | Physics
Learn Gravitation MCQ questions & answers in Basic Physics are available for students perparing for IIT-JEE, NEET, Engineering and Medical Enternace exam.
91.
A spherically symmetric gravitational system of particles has a mass density \[\rho = \left\{ \begin{array}{l}
{\rho _0}\,{\rm{for}}\,r \le R\\
0\,{\rm{for}}\,r > R
\end{array} \right.\]
where $${\rho _0}$$ is a constant. A test mass can undergo circular motion under the influence of the gravitational field of particles. Its speed $$v$$ as a function of distance $$r \left( {0 < r < \infty } \right)$$ from the centre of the system is represented by-
A
B
C
D
Answer :
For $$r \geqslant R$$
Force on the test mass $$m$$ is $$F = m \times \left| {{E_g}} \right|$$
Where $${{E_g}}$$ is the gravitational field intensity at the point of observation.
$$\therefore \frac{{m{v^2}}}{r} = m \times \left[ {\frac{{GM}}{{{r^2}}}} \right]$$ where $$M$$ is the total mass of the spherical system.
$$\eqalign{
& \therefore v \propto \frac{1}{{\sqrt r }} \cr
& {\text{For }}r < R\,\,{\text{Again}}\,\,F' = m\left| {E{'_g}} \right| \cr
& \therefore \frac{{m{v^2}}}{r} = m\left[ {\frac{{GM}}{{{R^3}}} \times r} \right] \cr
& \Rightarrow v \propto r \cr} $$
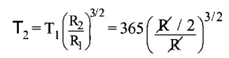
92.
If the distance of earth is halved from the sun, then the no. of days in a year will be
A
365
B
182.5
C
730
D
129
Answer :
129
From Kepler's law of periods,
$$ = 365 \times \frac{1}{{2\sqrt 2 }} = 129\,{\text{days}}$$
93.
The mean radius of the earth is $$R,$$ its angular speed on its own axis is $$\omega $$ and the acceleration due to gravity at the earth’s surface is $$g.$$ What will be the radius of the orbit of a geostationary satellite?
A
$${\left( {\frac{{{R^2}g}}{{{\omega ^2}}}} \right)^{\frac{1}{3}}}$$
B
$${\left( {\frac{{Rg}}{{{\omega ^2}}}} \right)^{\frac{1}{3}}}$$
C
$${\left( {\frac{{{R^2}{\omega ^2}}}{g}} \right)^{\frac{1}{3}}}$$
D
$${\left( {\frac{{{R^2}g}}{\omega }} \right)^{\frac{1}{3}}}$$
Let $${v_o}$$ be orbital speed and be is the radius of orbit of a geostationary satellite. So, time period of satellite
$$\eqalign{
& T = \frac{{2\pi r}}{{{v_o}}} \cr
& {\text{As,}}\,{v_o} = \sqrt {\frac{{GM}}{r}} = \sqrt {\frac{{g{R^2}}}{r}} \,\,\left( {\because g = \frac{{GM}}{{{R^2}}}} \right) \cr
& \therefore T = \frac{{2\pi r}}{{{{\left( {\frac{{g{R^2}}}{r}} \right)}^{\frac{1}{2}}}}}z = \frac{{2\pi {r^{\frac{3}{2}}}}}{{\sqrt {g{R^2}} }} \cr
& {\text{but}}\,\,T = \frac{{2\pi }}{\omega } \Rightarrow T = \frac{{2\pi {r^{\frac{3}{2}}}}}{{\sqrt {g{R^2}} }} = \frac{{2\pi }}{\omega } \cr
& {\text{Hence,}}\,\,{r^{\frac{3}{2}}} = \frac{{\sqrt {g{R^2}} }}{\omega }\,\,{\text{or}}\,\,{r^3} = \frac{{g{R^2}}}{{{\omega ^2}}} \cr
& {\text{or}}\,\,r = {\left( {\frac{{g{R^2}}}{{{\omega ^2}}}} \right)^{\frac{1}{3}}} \cr} $$
94.
The mass of a spaceship is $$1000 \,kg.$$ It is to be launched from the earth's surface out into free space. The value of $$g$$ and $$R$$ (radius of earth) are $$10\,m/{s^2}$$ and $$6400 \,km$$ respectively. The required energy for this work will be-
A
$$6.4 \times {10^{11}}\,Joules$$
B
$$6.4 \times {10^{8}}\,Joules$$
C
$$6.4 \times {10^{9}}\,Joules$$
D
$$6.4 \times {10^{10}}\,Joules$$
Answer :
$$6.4 \times {10^{10}}\,Joules$$
The required energy for this work is given by
$$\eqalign{
& \frac{{GMm}}{R} = mgR \cr
& = 1000 \times 10 \times 6400 \times {10^3} \cr
& = 6.4 \times {10^{10}}\,\,Joules \cr} $$
95.
What will be the formula of the mass in terms of $$g, R$$ and $$G$$ ?
($$R$$ = radius of the earth)
A
$${g^2}\frac{R}{G}$$
B
$$G\frac{{{R^2}}}{g}$$
C
$$G\frac{R}{g}$$
D
$$g\frac{{{R^2}}}{G}$$
Answer :
$$g\frac{{{R^2}}}{G}$$
Let $$m$$ be the mass of body, it is placed on spherical body of mass $$M,$$ radius $$R$$ and centre $$O.$$ If acceleration due to gravity is $$g$$ and density of spherical body is uniform such that its mass can be supposed to be concentrated at its centre $$O.$$
Let $$F$$ be the force of attraction between body of mass $$m$$ and spherical body of mass $$M.$$
According to Newton's law of gravitation $$F = \frac{{GMm}}{{{R^2}}}$$
From gravity pull $$F = mg$$
$$\eqalign{
& \therefore mg = \frac{{GMm}}{{{R^2}}}\,\,{\text{or}}\,\,g = \frac{{GM}}{{{R^2}}} \cr
& \therefore M = \frac{{g{R^2}}}{G} \cr} $$
96.
Assuming the radius of the earth as $$R,$$ the change in gravitational potential energy of a body of mass $$m,$$ when it is taken from the earth's surface to a height $$3R$$ above its surface, is
97.
The value of $$'g'$$ at a particular point is $$9.8\,m/{s^2}.$$ Suppose the earth suddenly shrinks uniformly to half its present size without losing any mass. The value of $$'g'$$ at the same point (assuming that the distance of the point from the centre of the earth does not shrink) will now be
A
$$4.9\,m/{\sec ^2}$$
B
$$3.1\,m/{\sec ^2}$$
C
$$9.8\,m/{\sec ^2}$$
D
$$19.6\,m/{\sec ^2}$$
Answer :
$$9.8\,m/{\sec ^2}$$
$$g = \frac{{GM}}{{{r^2}}}.$$ Since $$M$$ and $$r$$ are constant, so $$g = 9.8\,m/{\sec ^2}$$
98.
A mass $$M$$ is split into two parts m and $$\left( {M - m} \right),$$ which are then separated by a certain distance. What ratio of $$\frac{m}{M}$$ maximizes the gravitational force between the two parts?
A
$$\frac{1}{3}$$
B
$$\frac{1}{2}$$
C
$$\frac{1}{4}$$
D
$$\frac{1}{5}$$
Answer :
$$\frac{1}{2}$$
$$F = G\frac{{m\left( {M - m} \right)}}{{{r^2}}}$$
For maximum value of $$F,\frac{{dF}}{{dm}} = 0,$$ and so $$m = \frac{M}{2}.$$
99.
A compass needle which is allowed to move in a horizontal plane is taken to a geomagnetic pole. It
A
will become rigid showing no movement
B
will stay in any position
C
will stay in North-South direction only
D
will stay in East-West direction only
Answer :
will stay in North-South direction only
It will stay in North-South direction only at geomagnetic North and South poles.
100.
Two stars of mass $${m_1}$$ and $${m_2}$$ are parts of a binary system. The radii of their orbits are $${r_1}$$ and $${r_2}$$ respectively, measured from the $$C.M.$$ of the system. The magnitude of gravitational force $${m_1}$$ exerts on $${m_2}$$ is
A
$$\frac{{{m_1}{m_2}G}}{{{{\left( {{r_1} + {r_2}} \right)}^2}}}$$
B
$$\frac{{{m_1}G}}{{{{\left( {{r_1} + {r_2}} \right)}^2}}}$$
C
$$\frac{{{m_2}G}}{{{{\left( {{r_1} + {r_2}} \right)}^2}}}$$
D
$$\frac{{\left( {{m_1} + {m_2}} \right)}}{{{{\left( {{r_1} + {r_2}} \right)}^2}}}$$