Aldehyde and Ketone MCQ Questions & Answers in Organic Chemistry | Chemistry

Learn Aldehyde and Ketone MCQ questions & answers in Organic Chemistry are available for students perparing for IIT-JEE, NEET, Engineering and Medical Enternace exam.

191. Acetone reacts with iodine $$\left( {{I_2}} \right)$$  to form iodoform in the presence of

A $$CaC{O_3}$$
B $$NaOH$$
C $$KOH$$
D $$MgC{O_3}$$
Answer :   $$NaOH$$

192. Aldehyde and Ketone mcq question image  \[\xrightarrow{N{{H}_{2}}OH}\left( A \right)\xrightarrow{{{H}^{+}}}\left( B \right)\]     \[\xrightarrow{LAH}\left( C \right);\]   product $$(C)$$  of the reaction is :

A Aldehyde and Ketone mcq option image
B Aldehyde and Ketone mcq option image
C Aldehyde and Ketone mcq option image
D Aldehyde and Ketone mcq option image
Answer :   Aldehyde and Ketone mcq option image

193. Which of the following pairs of reactants is most effective in forming an enamine ?

A Aldehyde and Ketone mcq option image
B Aldehyde and Ketone mcq option image
C Aldehyde and Ketone mcq option image
D Aldehyde and Ketone mcq option image
Answer :   Aldehyde and Ketone mcq option image

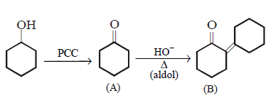
194. Aldehyde and Ketone mcq question image \[\xrightarrow{PCC}\left( A \right)\xrightarrow[\Delta ]{dil.\,NaOH}\left( B \right)\]
Product $$(B)$$  is :

A Aldehyde and Ketone mcq option image
B Aldehyde and Ketone mcq option image
C Aldehyde and Ketone mcq option image
D Aldehyde and Ketone mcq option image
Answer :   Aldehyde and Ketone mcq option image

195. In the following sequence of reactions :
\[\text{Toluene}\xrightarrow{KMn{{O}_{4}}}A\xrightarrow{SOC{{l}_{2}}}B\xrightarrow[BaS{{O}_{4}}]{{{H}_{2}}/Pd}C\]
the product C is :

A $${C_6}{H_5}C{H_2}OH$$
B $${C_6}{H_5}CHO$$
C $${C_6}{H_5}COOH$$
D $${C_6}{H_6}C{H_3}$$
Answer :   $${C_6}{H_5}CHO$$

196. Acetone is treated with excess of ethanol in the presence of hydrochloric acid. The product obtained is

A Aldehyde and Ketone mcq option image
B Aldehyde and Ketone mcq option image
C Aldehyde and Ketone mcq option image
D Aldehyde and Ketone mcq option image
Answer :   Aldehyde and Ketone mcq option image

197. Among the following the order of reactivity towards nucleophilic addition is

A $$C{H_3}CHO > C{H_3}COC{H_3} > HCHO$$
B $$HCHO > C{H_3}CHO > C{H_3}COC{H_3}$$
C $$C{H_3}CHO > HCHO > C{H_3}COC{H_3}$$
D $$C{H_3}COC{H_3} > C{H_3}CHO > HCHO$$
Answer :   $$HCHO > C{H_3}CHO > C{H_3}COC{H_3}$$

198. Which one of the statements about $$HO{H_2}CCH\left( {OH} \right)CHO$$      is not correct? It

A is an isomer of 1, 3-dihydroxypropanone
B contains a tertiary alcoholic group
C has the same empirical formula as glucose
D can show optical isomerism
Answer :   contains a tertiary alcoholic group

199. Propanal on reaction with dilute $$NaOH$$   forms

A $$C{H_3}C{H_2}C{H_2}C{H_2}C{H_2}CHO$$
B $$C{H_3}C{H_2}CH\left( {OH} \right)C{H_2}C{H_2}CHO$$
C $$C{H_3}C{H_2}C{H_2}CH\left( {OH} \right)C{H_2}CHO$$
D $$C{H_3}C{H_2}CH\left( {OH} \right)CH\left( {C{H_3}} \right)CHO$$
Answer :   $$C{H_3}C{H_2}CH\left( {OH} \right)CH\left( {C{H_3}} \right)CHO$$

200. \[\left( X \right){{C}_{4}}{{H}_{7}}OCl\xrightarrow{N{{H}_{3}}}{{C}_{4}}{{H}_{9}}OH\]       \[\xrightarrow[KHO]{B{{r}_{2}}}C{{H}_{3}}C{{H}_{2}}C{{H}_{2}}N{{H}_{2}};\]     compound $$(X)$$  is :

A Aldehyde and Ketone mcq option image
B Aldehyde and Ketone mcq option image
C Aldehyde and Ketone mcq option image
D Aldehyde and Ketone mcq option image
Answer :   Aldehyde and Ketone mcq option image