Aldehyde and Ketone MCQ Questions & Answers in Organic Chemistry | Chemistry
Learn Aldehyde and Ketone MCQ questions & answers in Organic Chemistry are available for students perparing for IIT-JEE, NEET, Engineering and Medical Enternace exam.
201.
An organic compound $$(X)$$ with molecular formula $${C_3}{H_6}O$$ is not readily oxidised. On reduction it gives $${C_3}{H_8}O\left( Y \right)$$ which reacts with $$HBr$$ to give a bromide $$(Z)$$ which is converted to Grignard reagent. Grignard reagent reacts with $$(X)$$ to give 2, 3-dimethylbutan-2-ol. $$(X), (Y)$$ and $$(Z)$$ respectively are
A
$$C{H_3}COC{H_3},C{H_3}C{H_2}C{H_2}OH,$$ $$C{H_3}CH\left( {Br} \right)C{H_3}$$
B
$$C{H_3}C{H_2}CHO,C{H_3}CH = C{H_2},$$ $$C{H_3}CH\left( {Br} \right)C{H_3}$$
C
$$C{H_3}COC{H_3},C{H_3}CH\left( {OH} \right)C{H_3},$$ $$C{H_3}CH\left( {Br} \right)C{H_3}$$
D
$$C{H_3}C{H_2}CHO,C{H_3}C{H_2}C{H_2}OH,$$ $$C{H_3}C{H_2}C{H_2}Br$$
202.
Given,
Which of the given compounds can exhibit tautomerism?
A
I and II
B
I and III
C
II and III
D
I, II and III
Answer :
I and II
In keto-enol tautomerism keto form should have $$\alpha $$ - hydrogen ( structure I and II ).
Here, $$\gamma - H$$ participates in tautomerism.
203.
Ethyl ester \[\xrightarrow[excess]{C{{H}_{3}}MgBr}P.\] The product $$P$$ will be
A
B
C
D
Answer :
Recall that, esters react with excess of Grignard reagents to form $${3^ \circ }$$ alcohols having at least two identical alkyl groups corresponding to Grignard reagent.
Since here Grignard reagent is \[C{{H}_{3}}MgBr,\] the $${3^ \circ }$$ alcohol should have at least two methyl groups
Thus, the choice with at least two methyl groups at the carbon linked with \[-OH\] group will be the correct choice. Hence (A) is the correct choice.
204.
In Clemmensen reduction carbonyl compound is treated with ________.
A
zinc amalgam $$ + \,\,HCl$$
B
sodium amalgam $$ + \,\,HCl$$
C
zinc amalgam $$+$$ nitric acid
D
sodium amalgam $$ + \,\,HN{O_3}$$
Answer :
zinc amalgam $$ + \,\,HCl$$
No explanation is given for this question. Let's discuss the answer together.
205.
If formaldehyde is heated with $$KOH,$$ then we get
A
methane
B
methyl alcohol
C
ethyl formate
D
acetylene
Answer :
methyl alcohol
When $$\alpha $$ - hydrogen is absent in carbonyl group, those compound gives cannizaro reaction.
This reaction show disproportionation.
The oxidation product is salt of carboxylic acid and reduced product is alcohol.
\[HCHO+HCHO\xrightarrow{KOH\left( conc. \right)}\underset{\text{Methyl alcohol}}{\mathop{C{{H}_{3}}OH}}\,+HCO{{O}^{-}}{{K}^{+}}\]
206.
Which of the following is the product of aldol condensation?
A
B
C
D
Answer :
207.
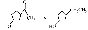
The appropriate reagent for the following transformation is
A
\[Zn\left( Hg \right),HCl\]
B
\[N{{H}_{2}}N{{H}_{2}},O{{H}^{-}}\]
C
\[{{H}_{2}}/Ni\]
D
\[NaB{{H}_{4}}\]
Answer :
\[N{{H}_{2}}N{{H}_{2}},O{{H}^{-}}\]
\[Zn\left( Hg \right),HCl\] cannot be used when acid sensitive group like \[-OH\] is present, but \[N{{H}_{2}}N{{H}_{2}},O{{H}^{-}}\] can be used.
208.
Compound $$'X'$$ ( molecular formula $${C_3}{H_8}O$$ ) is treated with acidified potassium dichromate to form a product $$'Y'$$ ( molecular formula $${C_3}{H_6}O$$ ). $$'Y'$$ forms a shining silver mirror on warming with ammoniacal silver nitrate. $$'Y'$$ when treated with an aqueous solution of $${H_2}NCONHN{H_2}$$ and sodium acetate gives a product $$'Z'.$$ The structure of $$'Z'$$ is
A
$$C{H_3}C{H_2}CH = NNHCON{H_2}$$
B
\[C{{H}_{3}}\underset{\begin{smallmatrix}
|\,\,\, \\
C{{H}_{3}}
\end{smallmatrix}}{\mathop{-C=}}\,NCONHN{{H}_{2}}\]
C
\[C{{H}_{3}}\underset{\begin{smallmatrix}
|\,\,\, \\
C{{H}_{3}}
\end{smallmatrix}}{\mathop{-C=}}\,NNHCON{{H}_{2}}\]
D
$$C{H_3}C{H_2}CH = NCONHN{H_2}$$
Answer :
$$C{H_3}C{H_2}CH = NNHCON{H_2}$$
Since $$Y$$ produces silver mirror with ammoniacal silver nitrate, $$Y$$ must be an aldehyde. $$Y$$ is produced by oxidation of $$X$$ with acidified $${K_2}C{r_2}{O_7},$$ which shows that $$X$$ must be a primary alcohol.
209.
Which of the following is hypnotic?
A
Metaldehyd
B
Acetaldehyde
C
Paraldehyde
D
None of these
Answer :
Paraldehyde
Paraldehyde is used as hypnotic and sleep producing drug.
210.
Of the following which is the product formed when cyclohexanone undergoes aldol condensation followed by heating?
A
B
C
D
Answer :
Aldehydes and ketones containing $$\alpha - H$$ atoms undergo aldol condensation in presence of dilute alkali as catalyst and gives $$\alpha ,\beta $$ unsaturated compound with the elimination of $${H_2}O$$ molecule.