Aldehyde and Ketone MCQ Questions & Answers in Organic Chemistry | Chemistry

Learn Aldehyde and Ketone MCQ questions & answers in Organic Chemistry are available for students perparing for IIT-JEE, NEET, Engineering and Medical Enternace exam.

221. Benzaldehyde can be prepared from benzene by passing vapours of _______ and _______ in its solution in presence of catalyst mixture of aluminium chloride and cuprous chloride. The reaction is known as _______ .

A $$HCl,SnC{l_4},$$   Rosenmund reduction
B $$CO,HCl,$$   Gattermann-Koch reaction
C $$C{O_2},{H_2}S{O_4},$$   Clemmensen reduction
D $${O_3},$$  Wolff-Kishner reduction
Answer :   $$CO,HCl,$$   Gattermann-Koch reaction

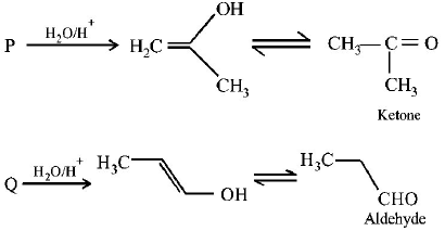
222. The product of acid hydrolysis of $$P$$ and $$Q$$ can be distinguished by
Aldehyde and Ketone mcq question image

A Lucas Reagent
B \[2,4-DNP\]
C Fehling’s Solution
D \[NaHS{{O}_{3}}\]
Answer :   Fehling’s Solution

223. An organic compound $$(X)$$  with molecular formula $${C_9}{H_{10}}O$$   gives positive 2, 4-$$DNP$$  and Tollens' tests. It undergoes Cannizzaro reaction and on vigorous oxidation it gives 1, 4-benzenedicarboxylic acid. Compound $$(X)$$  is

A benzaldehyde
B $$o$$ - methylbenzaldehyde
C $$p$$ - ethylbenzaldehyde
D 2, 2-dimethylhexanal.
Answer :   $$p$$ - ethylbenzaldehyde

224. Aldehyde and Ketone mcq question image  \[\xrightarrow{HN{{O}_{3}}}\left( A \right)\xrightarrow{Ca{{\left( OH \right)}_{2}}}\left( B \right)\]
Product $$(B)$$  in this reaction is :

A Aldehyde and Ketone mcq option image
B Aldehyde and Ketone mcq option image
C Aldehyde and Ketone mcq option image
D Aldehyde and Ketone mcq option image
Answer :   Aldehyde and Ketone mcq option image

225. Clemmensen reduction of a ketone is carried out in the presence of :

A $$LiAl{H_4}$$
B $$Zn - Hg$$   with $$HCl$$
C Glycol with $$KOH$$
D $${H_2}$$  with $$Pt$$  as catalyst
Answer :   $$Zn - Hg$$   with $$HCl$$

226. Polarisation of electrons in acrolein may be written as

A $$\mathop {C{H_2}}\limits^{{\delta ^ - }} = CH - \mathop {CH}\limits^{{\delta ^ + }} = O$$
B $$\mathop {C{H_2}}\limits^{{\delta ^ - }} = CH - CH = \mathop O\limits^{{\delta ^ + }} $$
C $$\mathop {C{H_2}}\limits^{{\delta ^ - }} = \mathop {CH}\limits^{{\delta ^ + }} - CH = O$$
D $$\mathop {C{H_2}}\limits^{{\delta ^ + }} = CH - CH = \mathop O\limits^{{\delta ^ - }} $$
Answer :   $$\mathop {C{H_2}}\limits^{{\delta ^ + }} = CH - CH = \mathop O\limits^{{\delta ^ - }} $$

227. Reaction of a carbonyl compound with one of the following reagents involves nucleophilic addition followed by the elimination of water. The reagents is

A a Grignard reagent
B hydrazine in presence of feebly acidic solution
C hydrocyanic acid
D sodium hydrogen sulphite
Answer :   hydrazine in presence of feebly acidic solution

228. Which of the following reagents are not correctly matched with the reaction?

A $$C{H_3}CH = CHCHO \to C{H_3}CH$$       $$ = CHCOOH:{\text{Ammoniacal}}\,\,AgN{O_3}$$
B $$C{H_3}CH = CHCHO \to C{H_3}CH$$       $$ = CHC{H_2}OH:{H_2}/Pt$$
C $$R - COOH \to R - C{H_2}OH:NaB{H_4}$$
D $$C{H_3}C{H_2}COCl \to C{H_3}C{H_2}CHO$$       $$:{H_2},Pd/BaS{O_4}$$
Answer :   $$C{H_3}CH = CHCHO \to C{H_3}CH$$       $$ = CHC{H_2}OH:{H_2}/Pt$$

229. The major product of the following reaction is :
Aldehyde and Ketone mcq question image

A Aldehyde and Ketone mcq option image
B Aldehyde and Ketone mcq option image
C Aldehyde and Ketone mcq option image
D Aldehyde and Ketone mcq option image
Answer :   Aldehyde and Ketone mcq option image