Biomolecules MCQ Questions & Answers in Organic Chemistry | Chemistry
Learn Biomolecules MCQ questions & answers in Organic Chemistry are available for students perparing for IIT-JEE, NEET, Engineering and Medical Enternace exam.
111.
Which one of the following gives positive Fehling’s solution test?
A
Sucrose
B
Glucose
C
Fats
D
Protein
Answer :
Glucose
Glucose reduces Fehling solution to give red $$ppt.$$ of $$C{u_2}O.$$
112.
Glucose molecule reacts with $$'X’$$ number of molecules of phenyl hydrazine to yield osazone. The value of $$'X’$$ is
A
four
B
one
C
two
D
three
Answer :
three
Thus, three phenyl hydrazine molecules and one molecule of glucose is required to form osazone.
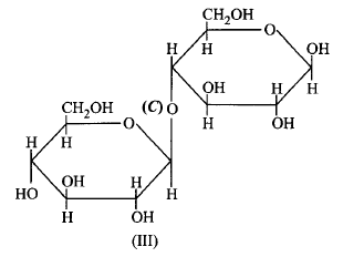
113.
Three structures are given below in which two glucose units are linked. Which of these linkages between glucose units are between $$C{\text{ - }}1$$ and $$C{\text{ - 4}}$$ and which linkages are between $$C{\text{ - }}1$$ and $$C{\text{ - 6?}}$$
A
$$(A)$$ is between $$C{\text{ - }}1$$ and $$C{\text{ - 4,}}$$ $$(B)$$ and $$(C)$$ are between $$C{\text{ - }}1$$ and $$C{\text{ - 6}}{\text{.}}$$
B
$$(A)$$ and $$(B)$$ are between $$C{\text{ - }}1$$ and $$C{\text{ - 4,}}$$ $$(C)$$ is between $$C{\text{ - }}1$$ and $$C{\text{ - 6}}{\text{.}}$$
C
$$(A)$$ and $$(C)$$ are between $$C{\text{ - }}1$$ and $$C{\text{ - 4,}}$$ $$(B) $$ is between $$C{\text{ - }}1$$ and $$C{\text{ - 6}}{\text{.}}$$
D
$$(A)$$ and $$(C)$$ are between $$C{\text{ - }}1$$ and $$C{\text{ - 6,}}$$ $$(B)$$ is between $$C{\text{ - }}1$$ and $$C{\text{ - 4}}{\text{.}}$$
Answer :
$$(A)$$ and $$(C)$$ are between $$C{\text{ - }}1$$ and $$C{\text{ - 4,}}$$ $$(B) $$ is between $$C{\text{ - }}1$$ and $$C{\text{ - 6}}{\text{.}}$$
$$(A)$$ and $$(C)$$ are between $$C{\text{ - }}1$$ and $$C{\text{ - 4,}}$$ $$(B)$$ is between $$C{\text{ - }}1$$ and $$C{\text{ - 6}}{\text{.}}$$
114.
Five-membered ring structures of fructose are given below. Mark the incorrect statement.
A
The five-membered ring structures are named as furanose structures.
B
The cyclic structures represent two anomers of fructose.
C
Five-membered ring structures are named as pyranose structures.
D
These are also called Haworth structures.
Answer :
Five-membered ring structures are named as pyranose structures.
Five-membered rings are named as furanose while six-membered rings are named as pyranose rings.
115.
Which one of the following vitamins is water-soluble?
A
Vitamin - $$B$$
B
Vitamin - $$E$$
C
Vitamin - $$K$$
D
Vitamin - $$A$$
Answer :
Vitamin - $$B$$
Vitamins are classified as
(i) Fat soluble vitamin - $$A, D, E, K$$
(ii) Water soluble vitamin - $$B$$ complex, $$H$$ and $$C$$
So, vitamin - $$B$$ is water soluble.
116.
During acetylation of glucose it needs $$x$$ moles of acetic anhydride. The value of $$x$$ would be
A
3
B
5
C
4
D
1
Answer :
5
Glucose contains 1 primary and 4 secondary alcoholic groups which get acetylated by 5 acetate groups.
\[\underset{\begin{smallmatrix}
|\,\,\,\,\,\,\,\,\,\,\,\,\,\,\,\,\,\, \\
C{{H}_{2}}OH\,\,\,\,\,\,\,
\end{smallmatrix}}{\overset{\begin{smallmatrix}
CHO\,\,\,\,\,\,\,\,\, \\
|\,\,\,\,\,\,\,\,\,\,\,\,\,\,\,\,\,
\end{smallmatrix}}{\mathop{{{\left( CHOH \right)}_{4}}}}}\,+5{{\left( C{{H}_{3}}CO \right)}_{2}}O\to \] \[\underset{\begin{smallmatrix}
|\,\,\,\,\,\,\,\,\,\,\,\,\,\,\,\,\,\,\,\,\,\,\,\,\,\,\,\,\,\,\,\,\, \\
C{{H}_{2}}OCOC{{H}_{3}}\,\,\,\,\,\,\,\,\,\,\,
\end{smallmatrix}}{\overset{\begin{smallmatrix}
CHO\,\,\,\,\,\,\,\,\,\,\,\,\,\,\,\,\,\,\,\,\,\,\,\, \\
|\,\,\,\,\,\,\,\,\,\,\,\,\,\,\,\,\,\,\,\,\,\,\,\,\,\,\,\,\,\,\,\,
\end{smallmatrix}}{\mathop{{{\left( CHOCOC{{H}_{3}} \right)}_{4}}}}}\,+5C{{H}_{3}}COOH\]
117.
Which of the following carbohydrates is not related to $$\left( + \right) - $$ glucose ?
A
Amylopectin
B
Amylose
C
Inulin
D
Glycogen
Answer :
Inulin
Inulin is a polysaccharide of fructose, while all others are polysaccharides of glucose ;
although all the four has same molecular formula, $${\left( {{C_6}{H_{10}}{O_5}} \right)_n}.$$
118.
The reason for double helical structure of $$DNA$$ is operation of
A
dipole - dipole interaction
B
hydrogen bonding
C
electrostatic attractions
D
van der Waals’ forces
Answer :
hydrogen bonding
$$DNA$$ consists of two polynucleotide chains, each chain forms a right handed spiral with ten bases in one turn of the spiral. The two chains coil to double helix and run in opposite direction held together by hydrogen bonding.
119.
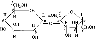
Structure of a disaccharide formed by glucose and fructose is given below. Identify anomeric carbon atoms in monosaccharide units.
A
$$'a'$$ carbon of glucose and $$'a'$$ carbon of fructose.
B
$$'a'$$ carbon of glucose and $$'e'$$ carbon of fructose.
C
$$'a'$$ carbon of glucose and $$'b'$$ carbon of fructose.
D
$$'f'$$ carbon of glucose and $$'f'$$ carbon of fructose.
Answer :
$$'a'$$ carbon of glucose and $$'b'$$ carbon of fructose.
$$'a'$$ carbon of glucose and $$'b'$$ carbon of fructose are anomeric carbon atoms.
120.
Phospholipids are esters of glycerol with
A
one carboxylic acid residue and two phosphate groups
B
three phoshate groups
C
three carboxylic acid residues
D
two carboxylic acid residues and one phosphate groups
Answer :
two carboxylic acid residues and one phosphate groups
Phospholipids are esters of glycerol with two carboxylic acid residue and one phosphate group.
Hence, phospholipids may be regarded as derivative of glycerol in which two hydroxyl groups are esterified with fatty acid, while third is esterified with phosphoric acid.