Biomolecules MCQ Questions & Answers in Organic Chemistry | Chemistry
Learn Biomolecules MCQ questions & answers in Organic Chemistry are available for students perparing for IIT-JEE, NEET, Engineering and Medical Enternace exam.
131.
An organic compound with the formula $${C_6}{H_{12}}{O_6}$$ forms a yellow crystalline solid with phenylhydrazine and gives a mixture of sorbitol and mannitol when reduced with sodium. Which among the following could be the compound ?
A
fructose
B
glucose
C
mannose
D
sucrose
Answer :
fructose
Since the compound forms a yellow crystalline solid, i.e. osazone with phenylhydrazine, it may be an aldohexose or a ketohexose. Further, since on reduction, compound forms a mixture of sorbitol and mannitol, it must be a ketohexose, i.e. fructose. Recall that glucose on reduction gives only one alcohol glucitol (Sorbitol)
132.
Synthesis of each molecule of glucose in photosynthesis involves :
133.
$$DNA$$ and $$RNA$$ contain four bases each. Which of the following bases is not present in $$RNA?$$
A
Adenine
B
Uracil
C
Thymine
D
Cytosine
Answer :
Thymine
Thymine is not present in $$RNA.$$ $$RNA$$ contains uracil in place of thymine.
134.
Number of chiral carbon atoms in $$\beta - D - \left( + \right) - $$ glucose is
A
five
B
six
C
three
D
four
Answer :
five
The number of chiral carbon atoms in $$\beta - D - \left( + \right)$$ glucose are five
135.
Carbohydrates are stored in human body as the polysaccharide
A
starch
B
glycogen
C
cellulose
D
amylose
Answer :
glycogen
Glycogen is the reserve carbohydrate occurring mainly in the liver.
136.
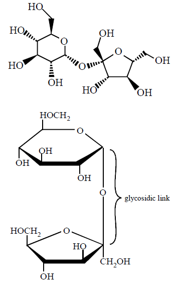
Glycosidic linkage is actually an :
A
Carbonyl bond
B
Ether bond
C
Ester bond
D
Amide bond
Answer :
Ether bond
Glycosidic linkage is actually an ether bond as the linkage forming the rings in an oligosaccharide or polysaccharide is not just one bond, but the two bonds sharing an oxygen atom e.g. sucrose
137.
Vegetable oils like wheat germ oil, sunflower oil, etc. are the good source of
A
vitamin $$K$$
B
vitamin $$E$$
C
vitamin $$D$$
D
vitamin $$A$$
Answer :
vitamin $$E$$
Vitamin $$E$$ is mainly present in vegetable oils like wheat germ oil, sunflower oil, etc.
138.
The segment of $$DNA$$ which acts as the instrumental manual for the synthesis of the protein is
A
nucleotide
B
ribose
C
gene
D
nucleoside
Answer :
gene
The segment of $$DNA$$ which acts as the instrumental manual for the synthesis of the protein is gene. Every protein in a cell has a corresponding gene.
139.
Benedict's solution is used to identify
A
lipids
B
proteins
C
reducing sugars
D
polysaccharide
Answer :
reducing sugars
No explanation is given for this question. Let's discuss the answer together.
140.
Sucrose in water is dextrorotatory, $${\left[ \alpha \right]_D} = + {66.4^ \circ }$$ when boiled with dil. $$HCl,$$ the solution becomes leavorotatory, $${\left[ \alpha \right]_D} = - {39.9^ \circ }.$$ In this process the sucrose breaks into
A
$$L$$ - glucose + $$D$$ - fructose
B
$$L$$ - glucose + $$L$$ - fructose
C
$$D$$ - glucose + $$D$$ - fructose
D
$$D$$ - glucose + $$L$$ - fructose
Answer :
$$D$$ - glucose + $$D$$ - fructose
The aqueous solution of sucrose is dextrorotatory having $${\left[ \alpha \right]_D} = + {66.4^ \circ }.$$ On hydrolysis with dilute acids or enzyme invertase, cane sugar (sucrose) gives equimolar mixture of $$D{\text{ - }}\left( + \right){\text{ - }}$$ glucose and $$D{\text{ - }}\left( - \right){\text{ - }}$$ fructose
\[\underset{\begin{smallmatrix}
\text{Cane sugar} \\
{{\left[ \alpha \right]}_{D}}={{66.4}^{\circ }}
\end{smallmatrix}}{\mathop{{{C}_{12}}{{H}_{22}}{{O}_{11}}}}\,+{{H}_{2}}O\xrightarrow{HCl}\underset{\begin{smallmatrix}
\text{D}\,\text{-}\,\text{glucose} \\
{{\left[ \alpha \right]}_{D}}=\,+52.5
\end{smallmatrix}}{\mathop{{{C}_{6}}{{H}_{12}}{{O}_{6}}}}\,+\underset{\begin{smallmatrix}
\text{D}\,\text{-fructose} \\
{{\left[ \alpha \right]}_{D}}=\,-{{92.4}^{\circ }}
\end{smallmatrix}}{\mathop{{{C}_{6}}{{H}_{12}}{{O}_{6}}}}\,\]
So, sucrose is dextrorotatory but after hydrolysis gives dextrorotatory glucose and laevorotatory fructose. $$D{\text{ - }}\left( - \right){\text{ - }}$$ fructose has a greater specific rotation than $$D{\text{ - }}\left( + \right){\text{ - }}$$ glucose. Therefore, the resultant solution is laevorotatory in nature with specific rotation of \[-{{39.9}^{\circ }}.\]