Biomolecules MCQ Questions & Answers in Organic Chemistry | Chemistry
Learn Biomolecules MCQ questions & answers in Organic Chemistry are available for students perparing for IIT-JEE, NEET, Engineering and Medical Enternace exam.
151.
Accumulation of which of the following molecules in the muscles occurs as a result of
vigorous exercise ?
A
Glycogen
B
Glucose
C
Pyruvic acid
D
$$L$$ - lactic acid
Answer :
$$L$$ - lactic acid
\[\underset{\begin{smallmatrix}
\text{stored in} \\
\text{the}\,\,\text{form of}\,\,\downarrow
\\
\text{Glycogen}
\end{smallmatrix}}{\mathop{\text{Glucose}}}\,\xrightarrow[\begin{align}
& \text{(does not need } \\
& \text{oxygen;} \\
& \text{need only} \\
& \text{enzymes)} \\
\end{align}]{}\underset{\begin{smallmatrix}
\,\,\,\,\,\,\,\,\,\downarrow \\
\text{Lactic acid}
\end{smallmatrix}}{\mathop{\text{Pyruvic acid}}}\,\xrightarrow{{{O}_{2}}}C{{O}_{2}}+{{H}_{2}}O\]
During vigorous exercise sufficient oxygen is not available to meet the energy demand so, energy is derived through conversion of pyruvic acid to lactic acid.
152.
Biotin is an organic compound present in yeast. Its deficiency in diet causes dermatitis and paralysis. It is also known as
A
vitamin $$H$$
B
vitamin $${B_3}$$
C
vitamin $${B_{12}}$$
D
vitamin $$D$$
Answer :
vitamin $$H$$
No explanation is given for this question. Let's discuss the answer together.
153.
A sequence of how many nucleotides in messenger $$RNA$$ makes a codon for an amino acid?
A
Three
B
Four
C
One
D
Two
Answer :
Three
The sequence of bases in $$mRNA$$ are read in a serial order in groups of three at a time. Each triplet of nucleotides ( having a specific sequence of bases ) is known as codon. Each codon specifies one amino acid. Further since, there are four bases, therefore, $${4^3} = 64$$ triplets or codons are possible.
154.
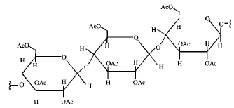
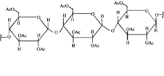
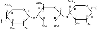
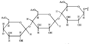
Cellulose upon acetylation with excess acetic anhydride/ $${H_2}S{O_4}$$ (catalytic) gives cellulose triacetate whose structure
is
A
B
C
D
Answer :
Cellulose is a polysaccharide composed of only $$D - $$ glucose units. Every adjacent glucose units are joined by $$\beta - $$glycosidic linkage between $${C_1}$$ of one glucose and $${C_4}$$ of the next.
NOTE : Thus in every glucose units only three $$ - OH$$ groups are free to form triacetate.
155.
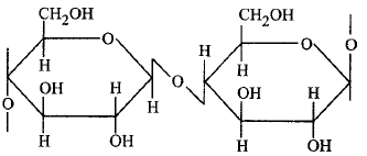
In cellulose, $$D{\text{ - }}$$ glucose units are joined by
A
$$\alpha {\text{ - 1,}}\,{\text{4}}$$ glycosidic linkage
B
$$\beta {\text{ - 1,}}\,{\text{6}}$$ glycosidic linkage
C
$$\beta {\text{ - 1,}}\,{\text{4}}$$ glycosidic linkage
The given compound is aspirin which is antipyretic and analgesic.
157.
Which of the following $$B$$ - group vitamins can be stored in our body?
A
Vitamin $${B_1}$$
B
Vitamin $${B_2}$$
C
Vitamin $${B_6}$$
D
Vitamin $${B_{12}}$$
Answer :
Vitamin $${B_{12}}$$
Vitamin $${B_{12}}$$ can be stored in our body.
158.
Which of the following acids is a vitamin?
A
Aspartic acid
B
Ascorbic acid
C
Adipic acid
D
Saccharic acid
Answer :
Ascorbic acid
Ascorbic acid is vitamin $$C.$$
159.
In $$DNA,$$ the complimentary bases are
A
uracil and adenine, cytosine and guanine
B
adenine and thymine, guanine and cytosine
C
adenine and thymine, guanine and uracil
D
adenine and guanine, thymine and cytosine
Answer :
adenine and thymine, guanine and cytosine
$$A = T,C \equiv G$$
160.
Vitamin - $${B_{12}}$$ contains
A
$$Zn\left( {II} \right)$$
B
$$Ca\left( {II} \right)$$
C
$$Fe\left( {II} \right)$$
D
$$Co\left( {III} \right)$$
Answer :
$$Co\left( {III} \right)$$
The molecular formula of vitamin - $${B_{12}}$$ is $${C_{63}}{H_{88}}\,\,{N_{14}}{O_{14}}PCo$$ and the chemical name is cyanocobalamine. So, cobalt is present in vitamin - $${B_{12}}.$$