Biomolecules MCQ Questions & Answers in Organic Chemistry | Chemistry
Learn Biomolecules MCQ questions & answers in Organic Chemistry are available for students perparing for IIT-JEE, NEET, Engineering and Medical Enternace exam.
161.
Which of the following enzyme converts starch into maltose ?
A
Diastase
B
Maltase
C
Zymase
D
Invertase
Answer :
Diastase
Maltose is obtained by partial hydrolysis of starch by the enzyme diastase present in Malt.
\[2{{\left( {{C}_{6}}{{H}_{10}}{{O}_{5}} \right)}_{n}}+n{{H}_{2}}O\xrightarrow{\text{Diastase}}n{{C}_{6}}{{H}_{12}}{{O}_{6}}\text{(Maltose)}\]
162.
Which of the following statements is not correct ?
A
Insulin maintains sugar level in the blood of a deoxyribose human body
B
Ovalbumin is a simple food reserve in egg white
C
Blood proteins thrombin and fibrinogen are involved in blood clotting
D
Denaturation makes the proteins more active
Answer :
Denaturation makes the proteins more active
Deprotonation of protein occur when it is subjected to physical change like change in temperature or chemical change like change in $$pH,$$ the hydrogen bonds are disturbed. As a result, globules unfolds and helix get uncoiled and protein losses its biological activity. Hence, the denaturation of protein makes the protein inactive.
163.
Which of the following vitamins is water soluble?
A
Vitamin $$E$$
B
Vitamin $$D$$
C
Riboflavin
D
Retinol
Answer :
Riboflavin
Riboflavin ( vitamin $${B_2}$$ ) is water soluble vitamin. All other vitamins i.e., vitamin $$E,$$ vitamin $$K,$$ vitamin $$D$$ and vitamin $$A$$ (retinol) are fat soluble vitamins.
164.
Enzymes are made up of
A
edible proteins
B
proteins with specific structure
C
nitrogen containing carbohydrates
D
carbohydrates
Answer :
proteins with specific structure
Enzymes are made up of proteins with specific structure and acts as a catalyst for biochemical reactions.
165.
\[H-C\equiv C-H\xrightarrow[{{H}_{2}}S{{O}_{4}}]{HgS{{O}_{4}}}\left( A \right)\xrightarrow[\left( 2 \right)\,{{H}_{3}}{{O}^{+}}]{\left( 1 \right)\,N{{H}_{3}}+HCN}\left( B \right);\]
Product $$(B)$$ of given reaction is :
A
Glycine
B
Alanine
C
valine
D
Leucine
Answer :
Alanine
166.
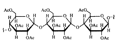
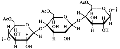
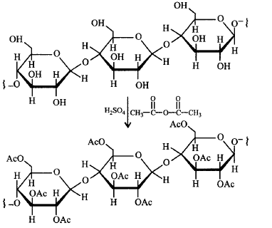
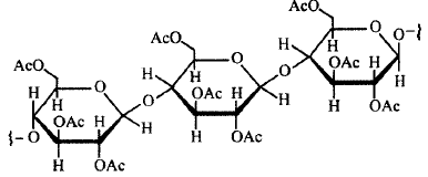
Cellulose upon acetylation with excess acetic anhydride / $${H_2}S{O_4}$$ ( catalytic ) gives cellulose triacetate whose structure is
A
B
C
D
Answer :
Cellulose is a straight chain polysaccharide composed of $$D$$ - glucose units which are joined by $$\beta $$ - glycosidic linkages between $$C{\text{ - }}1$$ of one glucose unit and $$C{\text{ - }}4$$ of the next glucose unit.
167.
Which one of the following structures represents the peptide chain?
A
B
C
D
Answer :
The peptide linkage $$\left( { - NH - CO - } \right)$$ is formed by the condensation of amino acids molecules
Hence, following structure represents the peptide chain
168.
Which of the following statement$$(s)$$ is (are) true ?
(i) All amino acids contain one chiral center.
(ii) Some amino acids contain one, while some contain more chiral center or even no chiral
center.
(iii) All amino acids found in proteins have $$L$$ configuration.
(iv) All amino acids found in proteins have $${1^ \circ }$$ amino group.
A
(ii), (iii) & (iv)
B
(ii) & (iii)
C
(i), (iii) & (iv)
D
(i) & (iv).
Answer :
(ii) & (iii)
Although $$D$$ - alanine is a constituent of a bacterial cell walls, it is not found in proteins.
169.
Mark the incorrect example.
A
Keratin and myosin - Fibrous proteins
B
Insulin and albumins - Globular proteins
C
Glycylalanine - Dipeptide
D
Enzymes and haemoglobin - Derived proteins
Answer :
Enzymes and haemoglobin - Derived proteins
Enzymes and haemoglobin are the examples of globular proteins.
170.
Which one of the following is an amine hormone?
A
Thyroxin
B
Oxypurin
C
Insulin
D
Progesterone
Answer :
Thyroxin
Thyroxin is an amine hormone which is secreted by thyroid gland.