Biomolecules MCQ Questions & Answers in Organic Chemistry | Chemistry
Learn Biomolecules MCQ questions & answers in Organic Chemistry are available for students perparing for IIT-JEE, NEET, Engineering and Medical Enternace exam.
31.
Insulin production and its action in human body are responsible for the level of diabetes. This compound belongs to which of the following categories ?
A
An enzyme
B
A hormone
C
A co - enzyme
D
An antibiotic
Answer :
A hormone
Insulin is a biochemically active peptide harmone secreted by pancreas.
32.
Which of the following statements is not true about glucose?
A
It is an aldohexose.
B
On heating with $$HI$$ it forms $$n$$ - hexane.
C
It is present in furanose form.
D
It does not give $$2,4{\text{ - }}DNP$$ test.
Answer :
It is present in furanose form.
Glucose is present is pyranose form ( six membered cyclic structure ).
33.
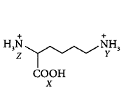
Consider the compound and arrange $$X, Y, Z$$ in the correct order of acid strengths.
A
$$X > Z > Y$$
B
$$Z < X < Y$$
C
$$X > Y > Z$$
D
$$Z > X > Y$$
Answer :
$$X > Z > Y$$
Carboxylic acids are stronger acids than $$ - NH_3^ + ,$$ therefore $$X$$ is the strongest acid. Since $$-COOH$$ has $$-I$$ effect which decreases with distance, therefore, effect is more pronounced on $$Z$$ than on $$Y.$$ As a result $$Z$$ is more acidic than $$Y.$$ Therefore, overall order of acid strength is $$X >Z > Y.$$
34.
Which of the following statements is not true about sucrose?
A
It is anon reducing sugar
B
The glycosidic linkage is present
between $${C_1}$$ of $$\alpha $$ - glucose and $$C_1^ - $$ of $$\beta $$ - fructose
C
It is also named as invert sugar
D
On hydrolysis, it produces glucose and fructose
Answer :
The glycosidic linkage is present
between $${C_1}$$ of $$\alpha $$ - glucose and $$C_1^ - $$ of $$\beta $$ - fructose
Sucrose contains glycosidic link between $${C_1}$$ of $$\alpha {\text{ - }}D$$ glucose and $${C_2}$$ of $$\beta {\text{ - }}D{\text{ - }}$$ fructose.
$${C_{12}}{H_{22}}{O_{11}} + {H_2}O \to {\text{Glucose + Fructose}}$$
35.
Amylopectin is a polymer of
A
$$\alpha - D - $$ glucose
B
amino acid
C
$$\beta - D - $$ glucose
D
amylase.
Answer :
$$\alpha - D - $$ glucose
Amylopectin is a polymer of $$\alpha - D - $$ glucose.
36.
Complete hydrolysis of cellulose gives
A
$$D$$ - ribose
B
$$D$$ - glucose
C
$$L$$ - glucose
D
$$D$$ - fructose
Answer :
$$D$$ - glucose
Cellulose is a linear polymer of $$\beta - D - $$ glucose in which
$${C_1}$$ of one glucose unit is connected to $${C_4}$$ of the other through $$\beta - D$$ glucosidic linkage. It does not undergo
hydrolysis easily. However on heating with dilute $${H_2}S{O_4}$$ under pressure. It does undergo hydrolysis to give only $$D - $$ glucose.
\[\left( {{C}_{6}}{{H}_{10}}{{O}_{5}} \right)n+n{{H}_{2}}O\xrightarrow{H+}\underset{D\text{-Glucose}}{\mathop{n{{C}_{6}}{{H}_{12}}{{O}_{6}}}}\,\]
37.
Peptides are composed of amino acids joined by amide bonds. Which of the following statements is not correct?
A
Amide groups are more resistant to hydrolysis than are similar ester groups.
B
$$p\pi - p\pi $$ resonance stabilises the amide bond.
C
Stable conformation of peptides are restricted to those having planar amide groups.
D
Amide groups do not participate in hydrogen bonding interactions.
Answer :
Amide groups do not participate in hydrogen bonding interactions.
The hydrogen bonding plays important role in secondary structure.
38.
Hydrolysis of sucrose is called
A
hydration
B
saponification
C
esterification
D
inversion
Answer :
inversion
Since sucrose is dextrorotatory while hydrolysis product of sucrose, having equimolar mixture of glucose and fructose, is laevorotatory. Hence the hydrolysed product of sucrose is known as invert sugar and the hydrolysis of sucrose is known as inversion.
39.
Two samples of $$DNA,$$ $$A$$ and $$B$$ have melting points 340 $$K$$ and 350 $$K$$ respectively. This is because
A
$$B$$ has more $$GC$$ content than $$A$$
B
$$A$$ has more $$GC$$ content than $$B$$
C
$$B$$ has more $$AT$$ content than $$A$$
D
both have same $$AT$$ content
Answer :
$$B$$ has more $$GC$$ content than $$A$$
Since $$GC$$ base pair having three $$H$$ - bonds is more
stable than $$AT$$ base pair having two $$H$$ - bonds, therefore, $$DNA,$$ $$B$$ has higher melting point than $$DNA,$$ $$A.$$
40.
Which $$L$$ - sugar on oxidation gives an optically active dibasic acid ( $$2\,COOH$$ groups ) ?
A
B
C
D
Answer :
(A) and (D) are $${L^ - }$$ sugar but (A) gives an optically active dibasic acid.