Electrophilic Aromatic Substitution (Haloalkanes and Haloarenes) MCQ Questions & Answers in Organic Chemistry | Chemistry
Learn Electrophilic Aromatic Substitution (Haloalkanes and Haloarenes) MCQ questions & answers in Organic Chemistry are available for students perparing for IIT-JEE, NEET, Engineering and Medical Enternace exam.
The more is the stability of intermediate (carbonium ion), the more is the chance of $${{\text{S}}_N}1$$ mechanism. The intermediates obtained will be $$Ph\mathop C\limits^ + {H_2}\left( {\text{i}} \right),Ph\mathop C\limits^ + H - Me\left( {{\text{ii}}} \right),$$ $$Ph\mathop C\limits^ + - M{e_2}\left( {{\text{iii}}} \right),Ph\mathop C\limits^ + MePh\left( {{\text{iv}}} \right).$$ The stabilty is of the order iv > iii > ii > i.
32.
Match the column I with column II and mark the appropriate choice.
Column I
Column II
a.
$$C{H_3}CHC{l_2}$$
1.
Vinyl halide
b.
$$C{H_2}ClC{H_2}Cl$$
2.
Alkylidene halide
c.
$$CHCl = C{H_2}$$
3.
Alkylene dihalide
d.
$$ClC{H_2} - CH = C{H_2}$$
4.
Allyl halide
A
a - 1, b - 2, c - 4, d - 3
B
a - 2, b - 3, c - 1, d - 4
C
a - 3, b - 4, c - 2, d - 1
D
a - 4, b - 1, c - 3, d - 2
Answer :
a - 2, b - 3, c - 1, d - 4
No explanation is given for this question. Let's discuss the answer together.
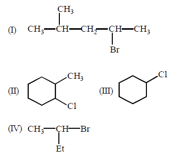
33.
Among the given halides, which one will give same product in both $${S_N}1$$ and $${S_N}2$$ reactions ?
A
(III) only
B
(I) and (II)
C
(III) and (IV)
D
(I), (III) and (IV)
Answer :
(III) and (IV)
$${S_N}2$$ and $${S_N}1$$ same, if $${C^ + }$$ not rearrange.
34.
Arrange the following compounds in decreasing order of their boiling points.
$$\eqalign{
& \left( {\text{i}} \right)C{H_3}Br \cr
& \left( {{\text{ii}}} \right)C{H_3}C{H_2}Br \cr
& \left( {{\text{iii}}} \right)C{H_3}C{H_2}C{H_2}Br \cr
& \left( {{\text{iv}}} \right)C{H_3}C{H_2}C{H_2}C{H_2}Br \cr} $$
A
(i) > (ii) > (iii) > (iv)
B
(iv) > (iii) > (ii) > (i)
C
(i) > (iii) > (ii) > (iv)
D
(iii) > (iv) > (i) > (ii)
Answer :
(iv) > (iii) > (ii) > (i)
No explanation is given for this question. Let's discuss the answer together.
35.
The major product formed in the following reaction is
\[C{{H}_{3}}\underset{\begin{smallmatrix}
| \\
H
\end{smallmatrix}}{\overset{\begin{smallmatrix}
\,\,\,\,\,C{{H}_{3}} \\
|
\end{smallmatrix}}{\mathop{-C-}}}\,C{{H}_{2}}Br\xrightarrow[C{{H}_{3}}OH]{C{{H}_{3}}{{O}^{-}}}\]
A
\[C{{H}_{3}}\underset{\begin{smallmatrix}
| \\
H\,
\end{smallmatrix}}{\overset{\begin{smallmatrix}
\,\,\,\,\,C{{H}_{3}} \\
|
\end{smallmatrix}}{\mathop{-C-}}}\,C{{H}_{2}}OC{{H}_{3}}\]
B
\[C{{H}_{3}}\underset{\begin{smallmatrix}
|\,\,\,\, \\
\,\,\,OC{{H}_{3}}
\end{smallmatrix}}{\mathop{-CH-}}\,C{{H}_{2}}C{{H}_{3}}\]
C
\[C{{H}_{3}}-\overset{\begin{smallmatrix}
\,C{{H}_{3}} \\
|\,\,\,\,\,
\end{smallmatrix}}{\mathop{C=}}\,C{{H}_{2}}\]
D
\[C{{H}_{3}}\underset{\begin{smallmatrix}
| \\
\,\,\,\,\,\,OC{{H}_{3}}
\end{smallmatrix}}{\overset{\begin{smallmatrix}
\,\,\,\,C{{H}_{3}} \\
|
\end{smallmatrix}}{\mathop{-C-}}}\,C{{H}_{3}}\]
A
In the electrophilic substitution of toluene with $$B{r_2},$$ iron (III) bromide acts as a Lewis acid.
B
In the reaction of toluene with $$\frac{{C{l_2}}}{{FeC{l_3}}},ortho$$ and $$para$$ isomers are easily separated.
C
Similar reaction with iodine is reversible in nature.
D
All of these
Answer :
All of these
These isomers are easily separated due to large difference in their melting points. All other options are also correct.
37.
Which of the following compounds will have highest melting point?
A
Chlorobenzene
B
$$o$$ - Dichlorobenzene
C
$$m$$ - Dichlorobenzene
D
$$p$$ - Dichlorobenzene
Answer :
$$p$$ - Dichlorobenzene
$$p$$ - isomer is symmetrical hence closely packed due to which it shows higher melting point than $$o$$ - and $$m$$ - isomers.
38.
The reaction of toluene with chlorine in presence of ferric chloride gives predominantly :
A
benzoyl chloride
B
$$m $$ - chlorotoluene
C
benzyl chloride
D
$$o $$ - and $$p $$ - chlorotoluene
Answer :
$$o $$ - and $$p $$ - chlorotoluene
TIPS/Formulae :
The given reaction is an example of electrophilic substitution. Further, $$C{H_3}$$ group in toluene is $$o,p - $$ directing
39.
Which of the following statements regarding the $${S_N}1$$ reaction shown by alkyl halide is not correct?
A
The added nucleophile plays no kinetic role in $${S_N}1$$ reaction.
B
The $${S_N}1$$ reaction involves the inversion of configuration of the optically active substrate.
C
The $${S_N}1$$ reaction on the chiral starting material ends up with racemisation of the product.
D
The more stable the carbocation intermediate the faster the $${S_N}1$$ reaction.
Answer :
The $${S_N}1$$ reaction involves the inversion of configuration of the optically active substrate.
In $${S_N}1$$ reaction, rate of substitution depends only on the concentration of substrate. In case of $${S_N}1$$ reaction there is racemisation. $${S_N}1$$ reaction will be faster, if carbocation formed is more stable.
40.
Arrange the following compounds in order of their reactivity towards $${S_N}2$$ reaction.
\[\begin{align}
& \left( \text{i} \right)C{{H}_{3}}{{\left( C{{H}_{2}} \right)}_{3}}C{{H}_{2}}Br \\
& \left( \text{ii} \right){{\left( C{{H}_{3}} \right)}_{2}}CHC{{H}_{2}}C{{H}_{2}}Br \\
& \left( \text{iii} \right)C{{H}_{3}}C{{H}_{2}}\underset{{}}{\overset{\begin{smallmatrix}
\,C{{H}_{3}} \\
|\,\,\,\,\,
\end{smallmatrix}}{\mathop{-CH-}}}\,C{{H}_{2}}Br \\
& \left( \text{iv} \right)C{{H}_{3}}\underset{\begin{smallmatrix}
| \\
\,\,\,\,C{{H}_{3}}
\end{smallmatrix}}{\overset{\begin{smallmatrix}
\,\,\,\,\,C{{H}_{3}} \\
|
\end{smallmatrix}}{\mathop{-C-}}}\,C{{H}_{2}}Br \\
\end{align}\]
A
(i) > (ii) > (iii) > (iv)
B
(ii) > (iii) > (iv) > (i)
C
(iii) > (i) > (ii) > (iv)
D
(iv) > (ii) > (i) > (iii)
Answer :
(i) > (ii) > (iii) > (iv)
No explanation is given for this question. Let's discuss the answer together.