Hydrocarbons (Alkane, Alkene and Alkyne) MCQ Questions & Answers in Organic Chemistry | Chemistry

Learn Hydrocarbons (Alkane, Alkene and Alkyne) MCQ questions & answers in Organic Chemistry are available for students perparing for IIT-JEE, NEET, Engineering and Medical Enternace exam.

281. The compound that will react most readily with gaseous bromine has the formula

A $${C_3}{H_6}$$
B $${C_2}{H_2}$$
C $${C_4}{H_{10}}$$
D $${C_2}{H_4}$$
Answer :   $${C_4}{H_{10}}$$

282. Choose the correct reagents used in the conversion.
\[C{{H}_{2}}=C{{H}_{2}}\xrightarrow{\left( p \right)}\underset{\begin{smallmatrix} |\,\,\,\,\,\,\,\, \\ Br\,\,\,\,\,\,\, \end{smallmatrix}}{\mathop{C{{H}_{2}}}}\,-\underset{\begin{smallmatrix} |\,\,\,\,\,\,\,\, \\ Br\,\,\,\,\,\,\, \end{smallmatrix}}{\mathop{C{{H}_{2}}}}\,\]      \[\xrightarrow{\left( q \right)}C{{H}_{2}}=CHBr\xrightarrow{\left( r \right)}\]     \[CH\equiv CH\xrightarrow{\left( s \right)}\]   Hydrocarbons (Alkane, Alkene and Alkyne) mcq question image
$$p$$ $$q$$ $$r$$ $$s$$
(a) $$B{r_2}$$ $${\text{alc}}.\,KOH$$ $$NaOH$$ $$A{l_2}{O_3}$$
(b) $$HBr$$ $${\text{alc}}.\,KOH$$ $$Ca{C_2}$$ $$KMn{O_4}$$
(C) $$HBr$$ $${\text{alc}}.\,KOH$$ $$NaN{H_2}$$ red hot iron tube
(d) $$B{r_2}$$ $${\text{alc}}.\,KOH$$ $$NaN{H_2}$$ red hot iron tube

A (a)
B (b)
C (c)
D (d)
Answer :   (d)

283. Hydrocarbons (Alkane, Alkene and Alkyne) mcq question image
On mercuration-demercuration produces the major product :

A Hydrocarbons (Alkane, Alkene and Alkyne) mcq option image
B Hydrocarbons (Alkane, Alkene and Alkyne) mcq option image
C Hydrocarbons (Alkane, Alkene and Alkyne) mcq option image
D Hydrocarbons (Alkane, Alkene and Alkyne) mcq option image
Answer :   Hydrocarbons (Alkane, Alkene and Alkyne) mcq option image

284. When cyclohexane is poured on water, it floats, because :

A cyclohexane is in ‘boat’ form
B cyclohexane is in ‘chair’ form
C cyclohexane is in ‘crown’ form
D cyclohexane is less dense than water
Answer :   cyclohexane is less dense than water

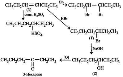
285. A compound $$X$$ decolourises $$B{r_2}$$  water and reacts slowly with conc. $${H_2}S{O_4}$$  to givean addition product. $$X$$ reacts with $$HBr$$  to form $$Y.$$ $$Y$$ reacts with $$NaOH$$  to form $$Z.$$ On oxidation $$Z$$ gives hexan-3-one. $$X, Y$$  and $$Z$$ in the reactions are
Hydrocarbons (Alkane, Alkene and Alkyne) mcq question image
\[X\xrightarrow{HBr}Y\xrightarrow{NaOH}Z\xrightarrow{\left[ O \right]}\]     \[\underset{\begin{align} & \,\,\,\,\,\,\,\,\,\,\,\,\,\,\,\,\,\,\,\,\parallel \\ & \,\,\,\,\,\,\,\,\,\,\,\,\,\,\,\,\,\,\,O \\ & \,\,\,\,\,\,\,\,\,\,\,\text{Hexan-3-one} \\ & \\ \end{align}}{\mathop{C{{H}_{3}}C{{H}_{2}}C{{H}_{2}}-C-C{{H}_{2}}C{{H}_{3}}}}\,\]

A $$X = C{H_3}C{H_2}CH = CHC{H_3},$$       $$Y = C{H_3}C{H_2}CH\left( {Br} \right)CH\left( {Br} \right)C{H_2}C{H_3},$$         $$Z = C{H_3}C{H_2}C{H_3}$$
B $$X = C{H_3}CH = CHC{H_3},$$      $$Y = C{H_3}CH\left( {Br} \right)CH\left( {Br} \right)C{H_3},$$       $$Z = C{H_3}C{H_2}C{H_2}OH$$
C $$X = C{H_3}C{H_2}CH = CHC{H_2}C{H_3},$$       \[Y=C{{H}_{3}}C{{H}_{2}}\underset{\begin{smallmatrix} |\,\,\,\,\, \\ Br\,\,\,\, \end{smallmatrix}}{\mathop{-CH-}}\,C{{H}_{2}}C{{H}_{2}}C{{H}_{3}},\]        \[Z=C{{H}_{3}}C{{H}_{2}}C{{H}_{2}}\underset{\begin{smallmatrix} |\,\,\,\,\, \\ OH\,\,\,\, \end{smallmatrix}}{\mathop{-CH-}}\,C{{H}_{2}}C{{H}_{3}}\]
D $$X = C{H_3}C{H_2}C{H_2}CH = CHC{H_3},$$       $$Y = C{H_3}C{H_2}C{H_2}C{H_2}C{H_2}C{H_2}Br,$$        $$Z = C{H_3}C{H_2}C{H_2}C{H_2}OH$$
Answer :   $$X = C{H_3}C{H_2}CH = CHC{H_2}C{H_3},$$       \[Y=C{{H}_{3}}C{{H}_{2}}\underset{\begin{smallmatrix} |\,\,\,\,\, \\ Br\,\,\,\, \end{smallmatrix}}{\mathop{-CH-}}\,C{{H}_{2}}C{{H}_{2}}C{{H}_{3}},\]        \[Z=C{{H}_{3}}C{{H}_{2}}C{{H}_{2}}\underset{\begin{smallmatrix} |\,\,\,\,\, \\ OH\,\,\,\, \end{smallmatrix}}{\mathop{-CH-}}\,C{{H}_{2}}C{{H}_{3}}\]

286. Which of the following statements is true?

A Soda lime is a mixture of sodium hydroxide and potassium hydroxide.
B Methane can be prepared by Wurtz reaction.
C In alkanes all carbon atoms are $$s{p^3}$$  hybridised.
D $$neo$$  - Pentane yields three different monochloro derivatives.
Answer :   In alkanes all carbon atoms are $$s{p^3}$$  hybridised.

287. What is the order of reactivity of hydrogen atoms attached to carbon atom in an alkene?

A $${3^ \circ } > {1^ \circ } > {2^ \circ }$$
B $${2^ \circ } > {1^ \circ } > {3^ \circ }$$
C $${3^ \circ } > {2^ \circ } > {1^ \circ }$$
D $${1^ \circ } > {2^ \circ } > {3^ \circ }$$
Answer :   $${3^ \circ } > {2^ \circ } > {1^ \circ }$$

288. In the following reaction,
Hydrocarbons (Alkane, Alkene and Alkyne) mcq question image
the major product obtained is

A Hydrocarbons (Alkane, Alkene and Alkyne) mcq option image
B Hydrocarbons (Alkane, Alkene and Alkyne) mcq option image
C Hydrocarbons (Alkane, Alkene and Alkyne) mcq option image
D Hydrocarbons (Alkane, Alkene and Alkyne) mcq option image
Answer :   Hydrocarbons (Alkane, Alkene and Alkyne) mcq option image

289. Benzene reacts with $$n$$ -propyl chloride in the presence of anhydrous $$AlC{l_3}$$  to give

A 3 - propyl - 1 - chlorobenzene
B $$n$$ - propyl benzene
C no reaction
D $$iso$$  - propyl benzene
Answer :   $$iso$$  - propyl benzene

290. An alkene having molecular formula $${C_7}{H_{14}}$$  was subjected to ozonolysis in the presence of zinc dust. An equimolar amount of the following two compounds was obtained
Hydrocarbons (Alkane, Alkene and Alkyne) mcq question image
The $$IUPAC$$   name of the alkene is

A 3, 4 - dimethyl - 3 - pentene
B 3, 4 - dimethyl - 2 - pentene
C 2, 3 - dimethyl - 3 - pentene
D 2, 3 - dimethyl - 2 - pentene
Answer :   2, 3 - dimethyl - 2 - pentene