Hydrocarbons (Alkane, Alkene and Alkyne) MCQ Questions & Answers in Organic Chemistry | Chemistry
Learn Hydrocarbons (Alkane, Alkene and Alkyne) MCQ questions & answers in Organic Chemistry are available for students perparing for IIT-JEE, NEET, Engineering and Medical Enternace exam.
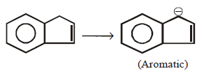
41.
All the hydrocarbons shown are very weak acids. One, however, is far more acidic than the others. Which one is the strongest acid ?
A
B
C
D
Answer :
42.
Baeyer’s reagent is :
A
alkaline permanganate solution
B
acidified permanganate solution
C
neutral permanganate solution
D
aqueous bromine solution
Answer :
alkaline permanganate solution
Baeyer's reagent is an alkaline solution of cold potassium permanganate, which is a powerful oxidant making this a redox reaction.
43.
Presence of unsaturation in organic compounds can be tested with
A
Fehling's reagent
B
Tollens' reagent
C
Baeyer's reagent
D
Fittig's reaction
Answer :
Baeyer's reagent
Baeyer's reagent $$\left( {alk.\,KMn{O_4}} \right)$$ which is pink in colour is decolourised due to presence of unsaturation.
44.
The treatment of $$C{H_3}MgX$$ with $$C{H_3}C \equiv C - H$$ produces
A
$$C{H_3} - CH = C{H_2}$$
B
$$C{H_3}C \equiv C - C{H_3}$$
C
\[C{{H}_{3}}-\overset{\begin{smallmatrix}
H \\
|
\end{smallmatrix}}{\mathop{C}}\,=\overset{\begin{smallmatrix}
H \\
|
\end{smallmatrix}}{\mathop{C}}\,-C{{H}_{3}}\]
D
$$C{H_4}$$
Answer :
$$C{H_4}$$
Writing the reaction we get
$$C{H_3}MgX + C{H_3} - C \equiv C - H \to $$ $$C{H_3} - C \equiv CMgX + C{H_4}\left( g \right)$$
So we find that $$C{H_4}$$ is produced in this reaction.
45.
Reaction of one molecule of $$HBr$$ with one molecule of 1, 3 - butadiene at $${40^ \circ }C$$ gives predominantly
A
1 - bromo - 2 - butene under kinetically controlled
conditions
B
3 - bromobutene under thermodynamically controlled predominantly
conditions
C
1 - bromo - 2 - butene under thermodynamically controlled conditions
D
3 - bromobutene under kinetically controlled conditions
46.
How many structures are possible for $${C_5}{H_8}$$ with one triple bond?
A
4
B
3
C
2
D
1
Answer :
3
$${C_5}{H_8}$$ can have the following structure with one triple bond.
$$\mathop {C{H_3} - C{H_2} - C{H_2} - C \equiv CH,}\limits_{{\text{Pent - 1 - yne }}} $$ $$\mathop {C{H_3}C{H_2} - C \equiv C - C{H_3}}\limits_{{\text{Pent - 2 - yne }}} $$
\[\underset{\text{3-Methylbut-I-yne}}{\mathop{C{{H}_{3}}\underset{\begin{smallmatrix}
|\,\,\,\,\, \\
C{{H}_{3}}\,
\end{smallmatrix}}{\mathop{-CH-}}\,C\equiv CH}}\,\]
47.
The most acidic hydrogen atoms are present in
A
ethane
B
ethene
C
ethyne
D
benzene
Answer :
ethyne
Due to the maximum percentage of $$s$$ - character (50%), the $$sp$$ hybridised orbitals of carbon atoms in ethyne molecules have highest electro negativity, thus in ethyne, hydrogen atoms can be liberated as protons most easily.
48.
When acetylene is passed through $$dil \cdot {H_2}S{O_4}$$ in presence of $$HgS{O_4},$$ the compound formed is
A
ether
B
ketone
C
acetic acid
D
acetaldehyde
Answer :
acetaldehyde
Hydration of alkyne,
49.
The alkene that exhibits geometrical isomerism is
A
propene
B
2-methylpropene
C
2-butene
D
2-methyl-2-butene
Answer :
2-butene
When two groups attached to a double bonded carbon atoms are same, the compound does not exhibit geometrical isomerism. Only 2-butene exhibits $$cis{\text{ - }}trans{\text{ }}$$ isomerism.
50.
The major product of the following reaction sequence is : \[\xrightarrow[2.\,{{H}_{2}}{{O}_{2}},\,H{{O}^{-}}]{1.\,{{B}_{2}}{{H}_{6}}}?\]