Organic Compounds Containing Nitrogen MCQ Questions & Answers in Organic Chemistry | Chemistry

Learn Organic Compounds Containing Nitrogen MCQ questions & answers in Organic Chemistry are available for students perparing for IIT-JEE, NEET, Engineering and Medical Enternace exam.

91. Which of the following statements is not true?

A $${\left( {C{H_3}} \right)_2}NH$$   is a stronger base than $${\left( {C{H_3}} \right)_3}N.$$
B Secondary amines show carbylamine reaction.
C Nitrogen gas is evolved when ethylamine is treated with nitrous acid.
D Primary amines can show carbylamine reaction.
Answer :   Secondary amines show carbylamine reaction.

92. The correct order of boiling points of the following isomeric amines is $${C_4}{H_9}N{H_2},{\left( {{C_2}{H_5}} \right)_2}NH,$$     $${C_2}{H_5}N{\left( {C{H_3}} \right)_2}$$

A $${C_2}{H_5}N{\left( {C{H_3}} \right)_2} > {\left( {{C_2}{H_5}} \right)_2}NH$$       $$ > {C_4}{H_9}N{H_2}$$
B $${\left( {{C_2}{H_5}} \right)_2}NH > {C_2}{H_5}N{\left( {C{H_3}} \right)_2}$$       $$ > {C_4}{H_9}N{H_2}$$
C $${C_4}{H_9}N{H_2} > {\left( {{C_2}{H_5}} \right)_2}NH > $$       $${C_2}{H_5}N{\left( {C{H_3}} \right)_2}$$
D $${\left( {{C_2}{H_5}} \right)_2}NH > {C_4}{H_9}N{H_2} > $$       $${C_2}{H_5}N{\left( {C{H_3}} \right)_2}$$
Answer :   $${C_4}{H_9}N{H_2} > {\left( {{C_2}{H_5}} \right)_2}NH > $$       $${C_2}{H_5}N{\left( {C{H_3}} \right)_2}$$

93. Mark the correct statement.

A Methyl amine is slightly acidic
B Methyl amine is less basic than ammonia
C Methyl amine is a stronger base than \[N{{H}_{3}}\]
D Methyl amine forms salts with alkalies
Answer :   Methyl amine is a stronger base than \[N{{H}_{3}}\]

94. Identify $$Z$$  in the following sequence of reactions –
\[C{{H}_{3}}COON{{H}_{4}}\xrightarrow{\Delta }X\xrightarrow{{{P}_{2}}{{O}_{5}}}Y\xrightarrow{{{H}_{2}}O/H}Z\]

A \[C{{H}_{3}}-C{{H}_{2}}-CO-N{{H}_{2}}\]
B \[C{{H}_{3}}-CN\]
C \[{{\left( C{{H}_{3}}CO \right)}_{2}}O\]
D \[C{{H}_{3}}-COOH\]
Answer :   \[C{{H}_{3}}-COOH\]

95. Which of the following is not a property of diazonium salts?

A Diazonium salts are colourless crystalline solids.
B Being ionic in nature they are soluble in water.
C Most of these salts explode when dried.
D The aqueous solutions of these salts are poor conductors of electricity.
Answer :   The aqueous solutions of these salts are poor conductors of electricity.

96. In the following reactions, the major product $$W$$  is
Organic Compounds Containing Nitrogen mcq question image

A Organic Compounds Containing Nitrogen mcq option image
B Organic Compounds Containing Nitrogen mcq option image
C Organic Compounds Containing Nitrogen mcq option image
D Organic Compounds Containing Nitrogen mcq option image
Answer :   Organic Compounds Containing Nitrogen mcq option image

97. In a reaction of aniline a coloured products $$C$$  was obtained.
Organic Compounds Containing Nitrogen mcq question image
The structure of $$C$$  would be

A Organic Compounds Containing Nitrogen mcq option image
B Organic Compounds Containing Nitrogen mcq option image
C Organic Compounds Containing Nitrogen mcq option image
D Organic Compounds Containing Nitrogen mcq option image
Answer :   Organic Compounds Containing Nitrogen mcq option image

98. Organic Compounds Containing Nitrogen mcq question image $$B$$  is :

A Organic Compounds Containing Nitrogen mcq option image
B Organic Compounds Containing Nitrogen mcq option image
C Organic Compounds Containing Nitrogen mcq option image
D Organic Compounds Containing Nitrogen mcq option image
Answer :   Organic Compounds Containing Nitrogen mcq option image

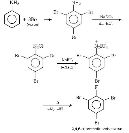
99. Aniline is reacted with bromine water and the resulting product is treated with an aqueous solution of sodium nitrite in presence of dilute hydrochloric acid. The compound so formed is converted into a tetrafluoroborate which is subsequently heated. The final product is

A 1, 3, 5 - tribromobenzene
B $$p$$ - bromofluorobenzene
C $$p$$ - bromoaniline
D 2, 4, 6 - tribromofluorobenzene
Answer :   2, 4, 6 - tribromofluorobenzene

100. On heating an aliphatic primary amine with chloroform and ethanolic potassium hydroxide, the organic compound formed is :

A an alkanol
B an alkanediol
C an alkyl cyanide
D an alkyl isocyanide
Answer :   an alkyl isocyanide