Learn Organic Compounds Containing Nitrogen MCQ questions & answers in Organic Chemistry are available for students perparing for IIT-JEE, NEET, Engineering and Medical Enternace exam.
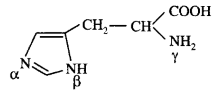
101.
When the imidazole ring of Histidine is protonated, tendency of nitrogen to be protonated ( proton migrates from $$- COOH$$ ) is in the order
A
$$\beta > \gamma > \alpha $$
B
$$\gamma > \beta > \alpha $$
C
$$\gamma > \alpha > \beta $$
D
$$\beta > \alpha > \gamma $$
Answer :
$$\gamma > \alpha > \beta $$
$$\gamma \left( { - N{H_2}} \right)$$ is close to $$-COOH,$$ in $$\beta \left( { - NH - } \right),$$ the lone pair of electrons is involved in resonance, and the lone pair on $$\alpha \left( { - N = } \right)$$ is intact on $$N$$ - atom, which is $$s{p^2}$$ hybridised.
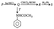
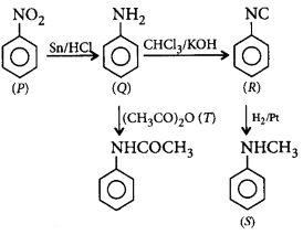
102.
Identify $$P, Q, R, S, T$$ in the given sequence of reaction.
$$P$$
$$Q$$
$$R$$
$$S$$
$$T$$
(a)
$${C_6}{H_5}N{O_2}$$
$${C_6}{H_5}CN$$
$${C_6}{H_5}NC$$
$${C_6}{H_5}N{H_2}$$
$$C{H_3}COOH$$
(b)
$${C_6}{H_6}$$
$${C_6}{H_5}N{O_2}$$
$${C_6}{H_5}NC$$
$${C_6}{H_5}N{H_2}$$
$$C{H_3}COCl$$
(c)
$${C_6}{H_5}N{H_2}$$
$${C_6}{H_5}NHC{H_3}$$
$${C_6}{H_5}N{H_2}$$
$${C_6}{H_5}CN$$
$$C{H_3}Cl$$
(d)
$${C_6}{H_5}N{O_2}$$
$${C_6}{H_5}N{H_2}$$
$${C_6}{H_5}NC$$
$${C_6}{H_5}NHC{H_3}$$
$${\left( {C{H_3}CO} \right)_2}O$$
A
(a)
B
(b)
C
(c)
D
(d)
Answer :
(d)
103.
Which of the following should be most volatile?
$$\eqalign{
& \left( {\text{i}} \right)C{H_3}C{H_2}C{H_2}N{H_2} \cr
& \left( {{\text{ii}}} \right){\left( {C{H_3}} \right)_3}N \cr} $$
$$\left( {{\text{iii}}} \right)$$
$$\left( {{\text{iv}}} \right)C{H_3}C{H_2}C{H_3}$$
A
(ii)
B
(iv)
C
(i)
D
(iii)
Answer :
(iv)
The order of boiling points of isomeric amines is $${1^ \circ }$$ amines > $${2^ \circ }$$ amines > $${3^ \circ }$$ amines.
Because of absence of $$H$$ - atom available for hydrogen bonding, $${3^ \circ }$$ amines do not have intermolecular association. Intermolecular association is more in $${1^ \circ }$$ amines than in $${2^ \circ }$$ amines as there are two $$H$$ - atoms available for $$H$$ - bonding. Hydrocarbons are almost non-polar molecules and possess weak van der Waals forces and hence has lowest boiling point i.e., most volatile.
104.
The reaction of chloroform with alcoholic $$KOH$$ and $$p - $$toluidine forms
A
B
C
D
Answer :
105.
Match the column I with column II and mark the appropriate choice.
No explanation is given for this question. Let's discuss the answer together.
106.
An organic compound having molecular mass 60 is found to contain $$C = 20\% ,H = 6.67\% \,{\text{and}}\,N = 46.67\% $$ while rest is oxygen. On heating it gives $$N{H_3}$$ alongwith a solid residue. The solid residue give violet colour with alkaline copper sulphate solution. The compound is
A
$$C{H_3}C{H_2}CON{H_2}$$
B
$${\left( {N{H_2}} \right)_2}CO$$
C
$$C{H_3}CON{H_2}$$
D
$$C{H_3}NCO$$
Answer :
$${\left( {N{H_2}} \right)_2}CO$$
The compound is $$C{H_4}{N_2}O$$
$${\text{Empirical weight}} = 60;\,Mol.\,wt. = 60;\,\,\,\therefore \,\,n = \frac{{60}}{{60}} = 1$$
$${\text{Molecular formula}} = C{H_4}{N_2}O;$$
On heating urea loses ammonia to give Biuret
$$2N{H_2}CON{H_2} \to {H_2}NCO.NH.CON{H_2} + N{H_3}$$
Biuret with alkaline $$CuS{O_4}$$ gives violet colour. Test for $$ - CONH - $$ group.
107.
Identify the incorrect IUPAC name.
A
$${\left( {C{H_3}C{H_2}} \right)_2}NC{H_3} - N$$ -Ethyl-$$N$$-methylethanamine
B
$${\left( {C{H_3}} \right)_3}CN{H_2} - 2$$ -Methylpropan-2-amine
C
$$C{H_3}NHCH{\left( {C{H_3}} \right)_2}$$ $$-N$$-Methylpropan-2-amine
D
$${\left( {C{H_3}} \right)_2}CHN{H_2} - 2,2$$ -Dimethyl-$$N$$-propanamine
108.
In Hofmann bromamide degradation, one of the important steps is the migration of
A
an alkyl group without its electron pair to electron deficient $$N$$ atom.
B
an alkyl group with its electron pair to electron deficient $$O$$ atom.
C
an alkyl group with its electron pair to electron rich $$N$$ atom.
D
an alkyl group with its electron pair to electron deficient $$N$$ atom.
Answer :
an alkyl group with its electron pair to electron deficient $$N$$ atom.
For this one should remember that Hofmann’s degradation involves migration to electron deficient nitrogen atom, hence the alkyl group will migrate with its bonding pair of electrons.
109.
Which of the following is used as Hinsberg's reagent?
A
$${C_6}{H_5}S{O_2}Cl$$
B
$${C_6}{H_5}S{O_3}H$$
C
$${C_6}{H_5}NHC{H_3}$$
D
$${C_6}{H_5}COC{H_3}$$
Answer :
$${C_6}{H_5}S{O_2}Cl$$
No explanation is given for this question. Let's discuss the answer together.
110.
Aniline dissolved in dilute $$HCl$$ is reacted with sodium nitrate
at $${0^ \circ }C$$ . This solution was added dropwise to a solution
containing equimolar mixture of aniline and phenol in dil.
$$HCl.$$ The structure of the major product is:
A
B
C
D
Answer :
In acidic medium aniline is more reactive than phenol that’s why electrophilic aromatic substitution of \[Ph-{{\overset{+}{\mathop{N}}\,}_{2}}\] takes place with aniline