Learn Organic Compounds Containing Nitrogen MCQ questions & answers in Organic Chemistry are available for students perparing for IIT-JEE, NEET, Engineering and Medical Enternace exam.
111.
The gas leaked from a storage tank of the Union Carbide plant in Bhopal gas tragedy was :
A
Methyl isocyanate
B
Methylamine
C
Ammonia
D
Phosgene
Answer :
Methyl isocyanate
Methyl isocyanate $$C{H_3} - N = C = O$$
112.
Choose the correct option by arranging the following compounds in increasing order of basicity :
$$C{H_3}N{H_2},{\left( {C{H_3}} \right)_2}NH,N{H_3},$$ $${C_6}{H_5}N{H_2}$$
No explanation is given for this question. Let's discuss the answer together.
113.
The cyclobutyl methylamine with nitrous acid gives
A
B
C
D
Answer :
114.
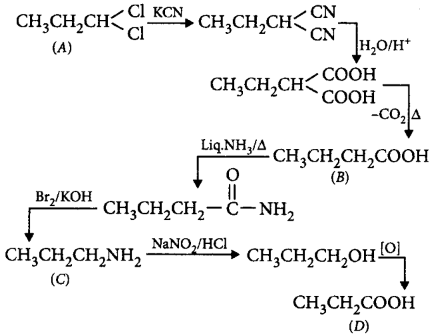
A dichloroderivative $$(A)$$ on treating with $$KCN$$ followed by acid hydrolysis and heating gives a monobasic acid $$(B)$$ along with liberation of $$C{O_2}.$$ $$(B)$$ on heating with liquid ammonia followed by treating with $$B{r_2}/KOH$$ gives $$(C)$$ which on treating with $$NaN{O_2}$$ and $$HCl$$ at low temperature followed by oxidation gives a monobasic acid $$(D)$$ having molecular mass 74. $$'C'$$ in the whole process would be
A
ethyl amine
B
propyl amine
C
$$tert$$ - butyl amine
D
cyclopentyl amine
Answer :
propyl amine
The overall reaction can be summarized as follows:
Structure of $$(D)$$ can be :
$$RCOOH = 74,$$
$$\eqalign{
& R = 74 - \left( {COOH} \right) \cr
& \,\,\,\,\,\, = 74 - 45 \cr
& \,\,\,\,\,\, = 29 \cr} $$
i.e., $$R = {C_2}{H_5}$$ and hence acid $$D$$ is $$C{H_3} - C{H_2} - COOH.$$
Now $$(C)$$ will be $$C{H_3} - C{H_2} - C{H_2}N{H_2}$$ which under given conditions gives $$(D)$$ and thus, $$(B)$$ will be butanoic acid which first forms amide. This amide undergoes Hoffmann bromamide reaction to give $$n$$ - propylamine $$(C).$$ To get butanoic acid $$(B)$$ under given conditions dihalide $$(A)$$ will be 1, 1-dichloropropane only. The reactions can be represented as :
115.
Which of the following reactions is not correctly matched?
A
Reaction used to convert amide into primary amine with one carbon atom less - Hoffmann bromamide reaction
B
Reaction used to convert primary amines into isocyanides - Carbylamine reaction
C
Reaction used to distinguish primary, secondary and tertiary amines - Hinsberg's reaction
D
Preparation of primary amines using phthalimide - Victor Meyer's synthesis
Answer :
Preparation of primary amines using phthalimide - Victor Meyer's synthesis
The synthesis of primary amines from phthalimide is known as Gabriel phthalimide synthesis.
116.
The correct increasing order of basic strength for the following compounds is _________.
A
II < III < I
B
III < I < II
C
IIII < II < I
D
II < I < III
Answer :
II < I < III
Electron donating $$ - C{H_3}$$ group increases the basicity while electron withdrawing $$ - N{O_2}$$ group decreases the basicity of amines.
117.
Hydrolysis of $$C{H_3}C{H_2}N{O_2}$$ with $$85\% \,{H_2}S{O_4}$$ gives
A
$$C{H_3}C{H_2}OH$$
B
$${C_2}{H_6}$$
C
$$C{H_3}CH = NOH$$
D
$$C{H_3}COOH$$
Answer :
$$C{H_3}COOH$$
$${1^ \circ }$$ Nitroalkanes on hydrolysis with boiling $$85\% \,{H_2}S{O_4}$$ give acids.
\[C{{H}_{3}}C{{H}_{2}}N{{O}_{2}}+{{H}_{2}}O+{{H}_{2}}S{{O}_{4}}\xrightarrow{\text{heat}}C{{H}_{3}}COOH+{{\left[ N{{H}_{3}}OH \right]}^{+}}HSO_{4}^{-}\]
118.
Aniline is reacted with bromine water and the resulting product is treated with an aqueous solution of sodium nitrite in presence of dilute $$HCl.$$ The compound so formed is converted into tetrafluoroborate which is subsequently heated dry. The final product is
A
$$p$$ - Bromofluorobenzene
B
$$p$$ - Bromoaniline
C
2, 4, 6 - Tribromofluorobenzene
D
1, 3, 5 - Tribromobenzene
Answer :
2, 4, 6 - Tribromofluorobenzene
119.
Which of the following tests is suitable to differentiate between aniline and benzylamine?
A
Aniline gives dye test on diazotisation and reaction with $$\beta $$ - naphthol while benzylamine gives alcohol.
B
Benzylamine gives green dye with $$\beta $$ - naphthol after diazotisation while aniline gives orange dye.
C
Aniline gives carbylamine reaction while benzylamine does not.
D
Benzylamine gives carbylamine reaction while aniline does not.
Answer :
Aniline gives dye test on diazotisation and reaction with $$\beta $$ - naphthol while benzylamine gives alcohol.
No explanation is given for this question. Let's discuss the answer together.
120.
Aniline in a set of reactions yielded a product \[\xrightarrow[HCl]{NaN{{O}_{2}}}A\xrightarrow{CuCN}B\xrightarrow[Ni]{{{H}_{2}}}\] \[C\xrightarrow{HN{{O}_{2}}}D\]
The structure of the product $$D$$ would be