Learn Organic Compounds Containing Nitrogen MCQ questions & answers in Organic Chemistry are available for students perparing for IIT-JEE, NEET, Engineering and Medical Enternace exam.
21.
In the following reaction, \[\xrightarrow{\frac{O{{H}^{-}}}{\Delta }}X\]
The organic product $$X$$ has the structure
A
B
C
D
Answer :
22.
Which of the following is amphoteric in nature?
A
$$C{H_3}N{H_2}$$
B
$$C{H_3}NHC{H_3}$$
C
$$C{H_3}CON{H_2}$$
D
\[C{{H}_{3}}\underset{\begin{smallmatrix}
| \\
\,\,\,C{{H}_{3}}
\end{smallmatrix}}{\mathop{-N-}}\,C{{H}_{3}}\]
Answer :
$$C{H_3}CON{H_2}$$
Amines are basic in nature while amides are amphoteric in nature.
23.
The most convenient method to prepare an amine containing one carbon atom less is
A
Gabriel phthalimide synthesis
B
reductive amination of aldehydes
C
Hofmann bromamide reaction
D
reduction of isonitriles
Answer :
Hofmann bromamide reaction
Hoffmann bromamide reaction is the best method to reduce one carbon atom in the amine from amide.
$$C{H_3}C{H_2}CON{H_2} + B{r_2} + 4KOH$$ \[\xrightarrow{\text{heat}}C{{H}_{3}}C{{H}_{2}}N{{H}_{2}}+2KBr\] $$ + {K_2}C{O_3} + 2{H_2}O$$
24.
Among the following, the strongest base is
A
$${C_6}{H_5}N{H_2}$$
B
$$p{\text{ - }}N{O_2}.{C_6}{H_4}N{H_2}$$
C
$$m{\text{ - }}N{O_2}.{C_6}{H_4}.N{H_2}$$
D
$${C_6}{H_5}C{H_2}N{H_2}$$
Answer :
$${C_6}{H_5}C{H_2}N{H_2}$$
Aliphatic amines are more basic than aromatic amines because in aliphatic amines electron pair on nitrogen is not involved in resonance.
25. \[\xrightarrow{A{{c}_{2}}O}A\xrightarrow[C{{H}_{3}}COOH]{B{{r}_{2}}}B\xrightarrow[{{H}^{+}}]{{{H}_{2}}O}C\]
Product $$C$$ would be
A
B
C
D
Answer :
No explanation is given for this question. Let's discuss the answer together.
26.
The correct stability order of the following resonance
structures is
$$\eqalign{
& \mathop {{H_2}C = \mathop N\limits^ + = \mathop N\limits^ - }\limits_{\left( {\text{I}} \right)} \cr
& \mathop {{H_2}\mathop C\limits^ + - N = \mathop N\limits^ - }\limits_{\left( {{\text{II}}} \right)} \cr
& \mathop {{H_2}\mathop C\limits^ - - \mathop N\limits^ + \equiv N}\limits_{\left( {{\text{III}}} \right)} \cr
& \mathop {{H_2}\mathop C\limits^ - - N = \mathop N\limits^ + }\limits_{\left( {{\text{IV}}} \right)} \cr} $$
A
(I) > (II) > (IV) > (III)
B
(I) > (III) > (II) > (IV)
C
(II) > (I) > (III) > (IV)
D
(III) > (I) > (IV) > (II)
Answer :
(I) > (III) > (II) > (IV)
27.
Which of the following reagents will be useful to distinguish between and
A
Dilute $$HCl$$
B
\[{{C}_{6}}{{H}_{5}}S{{O}_{2}}\] and \[O{{H}^{-}}/{{H}_{2}}O\]
C
$$HONO$$ then \[\beta \] - naphthol
D
\[AgN{{O}_{3}}\] in \[{{H}_{2}}O\]
Answer :
$$HONO$$ then \[\beta \] - naphthol
The first compound will give azo dye
28.
The correct statement regarding the basicity of arylamines is
A
Arylamines are generally more basic than alkylamines because the nitrogen lone-pair electrons are not delocalized by interaction with the aromatic ring $$\pi $$ - electron system
B
Arylamines are generally more basic than alkylamines because of aryl group
C
Arylamines are generally more basic than alkylamines, because the nitrogen atom in arylamines is $$sp$$ - hybridized
D
Arylamines are generally less basic than alkylamines because the nitrogen lone-pair electrons are delocalized by interaction with the aromatic ring $$\pi $$ - electron system
Answer :
Arylamines are generally less basic than alkylamines because the nitrogen lone-pair electrons are delocalized by interaction with the aromatic ring $$\pi $$ - electron system
Due to delocalisation of lone pair of electrons of $$N$$ - atom to the benzene ring, it losses its basicity and becomes less basic than alkyl amine.
On the other hand, alkyl amine has free lone pair of electron as well as $$ + I$$ - effect of alkyl group increases electron density on $$N$$ - atom enhancing its basic
nature.
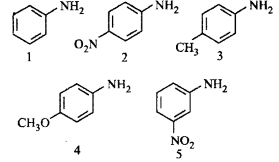
29.
The correct order of increasing basic nature of the following bases is
A
2 < 5 < 1 < 3 < 4
B
5 < 2 < 1 < 3 < 4
C
2 < 5 < 1 < 4 < 3
D
5 < 2 < 1 < 4 < 3
Answer :
2 < 5 < 1 < 3 < 4
Presence of electron withdrawing ( $$-I$$ or $$-M$$ group ) like $$ - N{O_2}$$ at $$p$$ - position will decrease the basicity, so (2) will be the least basic, whereas presence of electron donating ( $$+I$$ or $$+M$$ ) group like $$ - OC{H_3}$$ at $$p$$ - position in (4) will increase the basicity so (4) will be the most basic. Hence correct order of increasing basic character is 2 < 5 < 1 < 3 < 4.
30.
Amongst the following, the strongest base in aqueous medium is _________.
A
$$C{H_3}N{H_2}$$
B
$$NCC{H_2}N{H_2}$$
C
$${\left( {C{H_3}} \right)_2}NH$$
D
$${C_6}{H_5}NHC{H_3}$$
Answer :
$${\left( {C{H_3}} \right)_2}NH$$
No explanation is given for this question. Let's discuss the answer together.