Learn Organic Compounds Containing Nitrogen MCQ questions & answers in Organic Chemistry are available for students perparing for IIT-JEE, NEET, Engineering and Medical Enternace exam.
61.
Which one of the following is the strongest base in aqueous solution ?
A
Methylamine
B
Trimethylamine
C
Aniline
D
Dimethylamine
Answer :
Dimethylamine
NOTE: Aromatic amines are less basic than aliphatic amines. Among aliphatic amines the order of basicity is $${{\text{2}}^ \circ } > {1^ \circ } > {3^ \circ }.$$ The electron density is decreased in $${3^ \circ }$$ amine due to crowding of alkyl group over $$N$$ atom which
makes the approach and bonding by a proton relatively difficult. Therefore the basicity decreases. Further Phenyl group show - $$I$$ effect, thus decreases the electron density on nitrogen atom and hence the basicity.
∴ dimethylamine ( $${{\text{2}}^ \circ }$$ aliphatic amine ) is strongest base among given choices.
∴ The correct order of basic strength is Dimethylamine > Methyl amine > Trimethyl amine > Aniline.
62.
The electrolytic reduction of nitrobenzene in strongly acidic medium produces
A
$$p$$ - aminophenol
B
azoxybenzene
C
azobenzene
D
aniline
Answer :
$$p$$ - aminophenol
Under weakly acidic conditions nitrobenzene on electrolytic reduction gives aniline but under strongly acidic conditions gives $$p$$ - aminophenol.
63.
What is the product obtained in the following reaction?
A
B
C
D
Answer :
Reduction of nitrobenzene with $$Zn/N{H_4}Cl$$ ( neutral medium ) gives phenyl hydroxyamine.
64.
Amongst the compounds given, the one that would form a brilliant colored dye on treatment with $$NaN{O_2}$$ in dil. $$HCl$$ followed by addition to an alkaline solution of $$\beta - $$naphthol is
A
B
C
D
Answer :
Only primary aromatic amines undergo diazotisation followed by coupling.
65.
Intermediates formed during reaction of with $$B{r_2}$$ and $$KOH$$ are
A
$$RCONHBr{\text{ and }}RNCO$$
B
$$RNHCOBr{\text{ and }}RNCO$$
C
$$RNHBr{\text{ and }}RCONHBr$$
D
$$RCONB{r_2}$$
Answer :
$$RCONHBr{\text{ and }}RNCO$$
The reaction,
$$RCON{H_2} + B{r_2} + KOH \to RN{H_2}$$
is known as Hofmann bromamide reaction. The mechanism of this reaction is given as :
66.
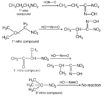
Which one of the following nitro-compounds does not react with nitrous acid?
A
B
C
D
Answer :
Key Idea $${1^ \circ }$$ and $${2^ \circ }$$ nitro compounds react with $$HN{O_2}$$ while $${3^ \circ }$$ - nitro compound does not.
The reactions of given compounds with $$HN{O_2}$$ are as follow
Thus, option (C) is incorrect.
67.
What would be obtained when benzoyl chloride reacts with aniline in the presence of sodium hydroxide?
68.
Consider the following reactions :
Reaction I :
Reaction II :
Which of the following is a correct comparison of rate of reaction?
A
$${r_I} > {r_{II}}$$
B
$${r_I} < {r_{II}}$$
C
$${r_I} = {r_{II}}$$
D
$${\text{Reactions are not possible}}$$
Answer :
$${r_I} > {r_{II}}$$
The reactive species is the nitrosonium ion (electrophile) and the most likely site of attack will be that with the highest electron density.
Such kind of delocalisation is not found in 2, 6-dimethyl derivative due to steric inhibition of resonance.
69.
Introduction of a methyl group in ammonia markedly increases the basic strength of ammonia in $$aq.$$ solution, introduction of the second methyl group increases only marginally the basic strength of methyl amine in water. This is due to
A
different type of hybridisation in the two amines.
B
protonated dimethyl amine is more solvated than methyl amine.
C
protonated dimethyl amine is more solvated than the protonated methyl amine.
D
protonated dimethyl amine is less stable than the protonated methyl amine.
Answer :
protonated dimethyl amine is less stable than the protonated methyl amine.
The basic character of an amine in water is determined by $$(i)$$ electron availability on the $$N$$ atom and $$(ii)$$ the extent of stabilization of the cation ( protonated amine ) due to solvation by hydrogen bonding
70.
The best reagent for converting, 2-phenylpropanamide into 1-phenylethanamine is _______.
A
$${\text{excess}}\,\,{H_2}/Pt$$
B
$$NaOH/B{r_2}$$
C
$$NaB{H_4}/{\text{methanol}}$$
D
$$LiAl{H_4}/{\text{ether}}$$
Answer :
$$NaOH/B{r_2}$$
By Hoffmann bromamide degradation reaction, the amine formed contains one carbon less than that present in the amide.
\[\underset{2\text{-Phenylpropanamide}}{\mathop{C{{H}_{3}}\overset{\begin{smallmatrix}
\,\,\,{{C}_{6}}{{H}_{5}} \\
|\,\,\,\,
\end{smallmatrix}}{\mathop{-CH-}}\,CON{{H}_{2}}}}\,+B{{r}_{2}}+4NaOH\to \] \[\underset{\text{1-Phenylethanamine}}{\mathop{C{{H}_{3}}\overset{\begin{smallmatrix}
\,\,\,{{C}_{6}}{{H}_{5}} \\
|\,\,\,\,
\end{smallmatrix}}{\mathop{-CH-}}\,N{{H}_{2}}}}\,+N{{a}_{2}}C{{O}_{3}}+\] \[2NaBr+2{{H}_{2}}O\]