Polymers MCQ Questions & Answers in Organic Chemistry | Chemistry
Learn Polymers MCQ questions & answers in Organic Chemistry are available for students perparing for IIT-JEE, NEET, Engineering and Medical Enternace exam.
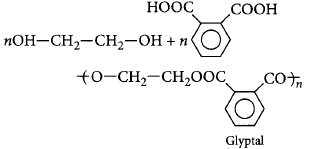
151.
Glyptal polymer is obtained by the following monomers,
A
malonic acid + ethylene glycol
B
phthalic acid + ethylene glycol
C
maleic acid + formaldehyde
D
acetic acid + phenol
Answer :
phthalic acid + ethylene glycol
152.
Which of the following alkenes is most reactive towards cationic polymerisation?
A
$$C{H_2} = CHC{H_3}$$
B
$$C{H_2} = CHCl$$
C
$$C{H_2} = CH{C_6}{H_5}$$
D
$$C{H_2} = CHCOOC{H_3}$$
Answer :
$$C{H_2} = CH{C_6}{H_5}$$
In cationic polymerisation, carbocations are formed. Greater the stability of the carbocation, more reactive is the alkene. Since the stability of the intermediate carbocation follows the order :
$$C{H_3} - \mathop C\limits^ + H{C_6}{H_5} > C{H_3}\mathop C\limits^ + HC{H_3}$$ $$ > C{H_3}\mathop C\limits^ + HCl > C{H_3}\mathop C\limits^ + HCOOC{H_3}$$
therefore, reactivity decreases in the same order. Thus, styrene is most reactive.
153.
Synthetic polymer bakelite can be prepared from following compounds
A
Styrene and vinyl chloride
B
Acrylonitrile and vinyl chloride
C
Adipic acid and ethylene glycol
D
Phenol and formaldehyde
Answer :
Phenol and formaldehyde
Phenol and formaldehyde undergo condensation polymerisation under two different conditions to give a cross linked polymer called bakelite.
154. is a polymer having monomer units ________.
A
B
C
D
Answer :
The repeating structural unit is $$ - C{H_2} - C{\left( {C{H_3}} \right)_2} - $$ and hence the monomer is $$iso$$ - butylene,
155.
Mark the incorrect use of the polymer.
A
High density - Buckets, pipes, polythene
B
Nylon 6, 6 - Ropes, bristles for brushes
C
Orlon - Synthetic wool, carpets
D
Glyptal - Electrical switches, combs
Answer :
Glyptal - Electrical switches, combs
Glyptal is used in manufacture of paints and lacquers.
156.
Biodegradable polymer which can be produced from glycine and aminocaproic acid is :
A
$$PHBV$$
B
$$Buna - N$$
C
$${\text{Nylon 6, 6}}$$
D
$${\text{Nylon 2 - nylon 6}}$$
Answer :
$${\text{Nylon 2 - nylon 6}}$$
157.
Polymer formation from monomers starts by
A
condensation or addition reaction between monomers
B
coordinate reaction between monomers
C
conversion of monomer to monomer ions
D
hydrolysis of monomers.
Answer :
condensation or addition reaction between monomers
Polymerisation starts either by condensation or by addition reactions between monomers
158.
Given the polymers (i) Nylon - 6, 6; (ii) Buna - $$S;$$ (iii) Polythene. Arrange these in increasing order of their inter-molecular forces ( lower to higher )
A
(i) > (ii) > (iii)
B
(ii) > (iii) > (i)
C
(ii) < (iii) < (i)
D
(iii) < (i) < (ii)
Answer :
(ii) < (iii) < (i)
Nylon – 6, 6 is a fibre with hydrogen bonds thus have strongest intermolecular forces. Buna - $$S$$ is a elastomer whereas polythene is thermoplastic. the intermolecular forces of attraction in thermoplastics is intermediate between elastomer and fibres. Therefore forces in elastomers are weakest.
159.
Which of the following statements is not correct for fibres ?
A
Fibres possess high tensile strength and high modulus.
B
Fibres impart crystalline nature.
C
Characteristic features of fibres are due to strong intermolecular forces like hydrogen bonding.
D
All are correct.
Answer :
All are correct.
All the given statements about fibres are correct.
160.
When condensation product of hexamethylene-diamine and adipic acid is heated to $$525\,K$$ in an atmosphere of nitrogen for about 4 - 5 hours, the product obtained is
A
solid polymer of nylon 6, 6
B
liquid polymer of nylon 6, 6
C
gaseous polymer of nylon 6, 6
D
liquid polymer of nylon 6
Answer :
liquid polymer of nylon 6, 6
The condensation polymerisation of hexamethylene diamine and adipic acid is done in solution form by interface technique. In this, liquid nylon polymer is obtained.