Polymers MCQ Questions & Answers in Organic Chemistry | Chemistry
Learn Polymers MCQ questions & answers in Organic Chemistry are available for students perparing for IIT-JEE, NEET, Engineering and Medical Enternace exam.
31.
Which one of the following is a chain growth polymer ?
A
Starch
B
Nucleic acid
C
Polystyrene
D
Protein
Answer :
Polystyrene
Chain growth polymerisation requires an initiator ( such as organic peroxides ) to produce a free radical to which the monomers are added in a chain fashion. Initiators are added in a very small quantities and are decomposed by heat, light or oxidation-reduction reaction to produce reactive species, e.g. free radical.
Polystyrene is an example of chain growth polymer because in it styrene molecules are associated in the form of monomer
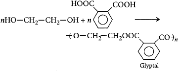
32.
Which one of the following is an example of a thermosetting polymer ?
A
B
C
D
Answer :
Glyptal is used in the manufacture of paints and lacquers.
33.
Which of the following is fully fluorinated polymer?
A
$$PVC$$
B
Thiokol
C
Teflon
D
Neoprene
Answer :
Teflon
Teflon is polymer of $$C{F_2} = C{F_2}.$$
34.
The monomers used in addition polymerisation through free radical should be very pure because
A
the traces of impurities act like inhibitors resulting in short chain polymers
B
the impurities result in formation of different products
C
the polymer formed is impure
D
catalyst does not function in presence of impurities
Answer :
the traces of impurities act like inhibitors resulting in short chain polymers
No explanation is given for this question. Let's discuss the answer together.
35.
In which of the following polymers, empirical formula resembles with monomer ?
A
Bakelite
B
Teflon
C
Nylon - 6, 6
D
Dacron
Answer :
Teflon
In addition homopolymers such as teflon, empirical formula resembles with monomer.
36.
Nylon is an example of
A
polyester
B
polysaccharide
C
polyamide
D
polythene
Answer :
polyamide
The general structure of any nylon polymer is
Because of the presence of amide linkage, nylon belongs to polyamides.
37.
Which of the following is not an example of rubber?
A
Polychloroprene
B
Buna-$$N$$
C
Butadiene-styrene copolymer
D
Polyacrylonitrile
Answer :
Polyacrylonitrile
No explanation is given for this question. Let's discuss the answer together.
38.
Which one of the following statement is not true ?
A
In vulcanization the formation of sulphur bridges between different chains make rubber harder and stronger.
B
Natural rubber has the $$trans$$ - configuration at every double bond
C
$$Buna-S$$ is a copolymer of butadiene and styrene
D
Natural rubber is a 1, 4 - polymer of isoprene
Answer :
Natural rubber has the $$trans$$ - configuration at every double bond
All statements except (B) are correct
39.
The correct structure of monomers of buna-$$S$$ is
A
B
C
D
Answer :
The co-polymer is formed by the mixture of 1, 3 - butadiene and styrene.
40.
In which of the following polymers ethylene glycol is one of the monomer units?
A
B
C
D
Answer :
Glyptal is synthesised by polymerisation of ethylene glycol (glycol) and phthalic acid.