P - Block Elements MCQ Questions & Answers in Inorganic Chemistry | Chemistry
Learn P - Block Elements MCQ questions & answers in Inorganic Chemistry are available for students perparing for IIT-JEE, NEET, Engineering and Medical Enternace exam.
131.
On heating with concentrated $$NaOH$$ solution in an inert atmosphere of $$C{O_2},$$ white phosphorus gives a gas. Which of the following statements is incorrect about the gas?
A
It is highly poisonous and has smell like rotten fish.
B
Its solution in water decomposes in the presence of light.
C
It is more basic than $$N{H_3}.$$
D
It is less basic than $$N{H_3}.$$
Answer :
It is more basic than $$N{H_3}.$$
In the laboratory, phosphine $$\left( {P{H_3}} \right)$$ is prepared by heating white phosphorus with concentrated $$NaOH$$ solution in an inert atmosphere of $$C{O_2}.$$
$${P_4} + 3NaOH + 3{H_2}O \to $$ $$P{H_3} + 3Na{H_2}P{O_2}$$
$${P{H_3}}$$ is less basic than $$N{H_3}.$$ Due to larger size of $$P,$$ the electron density is diffused over a larger region and thus, the ability to donate electron pair is less.
132.
Which of the following has the minimum heat of dissociation :
A
$${\left( {C{H_3}} \right)_3}N: \to B{F_3}$$
B
$${\left( {C{H_3}} \right)_3}N: \to B{\left( {C{H_3}} \right)_2}F$$
C
$${\left( {C{H_3}} \right)_3}N: \to B{\left( {C{H_3}} \right)_3}$$
D
$${\left( {C{H_3}} \right)_3}N: \to B\left( {C{H_3}} \right){F_2}$$
Due to $$ + I$$ effect of methyl groups the Lewis character of $$B{\left( {C{H_3}} \right)_3}$$ decreases and coordination becomes weaker.
133.
Hydrolysis of one mole of peroxodisulphuric acid produces
A
two moles of sulphuric acid.
B
two moles of peroxomonosulphuric acid.
C
one mole of sulphuric acid and one mole of peroxomonosulphuric acid.
D
one mole of sulphuric acid, one mole of peroxomonosulphuric acid and one mole of hydrogen peroxide.
Answer :
one mole of sulphuric acid and one mole of peroxomonosulphuric acid.
134.
Oganesson has been synthetically produced by collision of
A
$$Ra\,\,{\text{and}}\,\,Ca$$
B
$$Cf\,\,{\text{and}}\,\,Ca$$
C
$$Cf\,\,{\text{and}}\,\,Cu$$
D
$$Ra\,\,{\text{and}}\,\,He$$
Answer :
$$Cf\,\,{\text{and}}\,\,Ca$$
No explanation is given for this question. Let's discuss the answer together.
135.
Boron is unable to form $$BF_6^{3 - }$$ ions due to
A
non - availability of $$d$$ - orbitals
B
small size of boron atom
C
non - metallic nature
D
less reactivity towards halogens
Answer :
non - availability of $$d$$ - orbitals
Boron form $$BF_4^ - $$ in which boron atom extends its coordination number to 4 by utilising empty $$p$$ - orbital. It cannot extend its coordination number beyond 4 due to non - availability of $$d$$ - orbitals.
136.
Sulphur trioxide is not directly dissolved in water to form sulphuric acid because
A
$$S{O_3}$$ does not react with water to form acid
B
$$S{O_3}$$ gets oxidised to $${H_2}S{O_3}$$ when dissolved in water
C
it results in the formation of dense fog of sulphuric acid which is difficult to condense
D
sulphur trioxide is insoluble in water due to its covalent nature
Answer :
it results in the formation of dense fog of sulphuric acid which is difficult to condense
137.
Which of the following oxides is acidic in nature?
A
$${B_2}{O_3}$$
B
$$A{l_2}{O_3}$$
C
$$G{a_2}{O_3}$$
D
$$I{n_2}{O_3}$$
Answer :
$${B_2}{O_3}$$
$${B_2}{O_3}$$ is acidic and reacts with basic (metallic) oxides forming metal borates. Aluminium and gallium oxides are amphoteric and those of indium and thallium are basic in their properties.
138.
Oxidation number of $$Cl\,\,{\text{in}}\,CaOC{l_2}$$ (bleaching powder) is:
A
zero, since it contains $$C{l_2}$$
B
$$ - 1,$$ since it contains $$Cl$$
C
$$ + 1$$, since it contains $$Cl{O^ - }$$
D
$$ + 1\,{\text{and}}\, - 1$$ since it contains $$Cl{O^ - }\,{\text{and}}\,C{l^ - }$$
Answer :
$$ + 1\,{\text{and}}\, - 1$$ since it contains $$Cl{O^ - }\,{\text{and}}\,C{l^ - }$$
$$CaOC{l_2} - $$ or it can also be written as
$$Ca\mathop {(OCl)}\limits_{{x_1}} \mathop {Cl}\limits_{{x_2}} $$
hence oxidation no of $$Cl\,\,{\text{in}}\,\,OC{l^ - }\,{\text{is}}$$
$$\eqalign{
& {{ - 2\, + }}\,{x_2} = - 1 \cr
& {x_2} = 2 - 1 = + 1 \cr} $$
now oxidation no. of another $$Cl$$ is $$ - 1$$ as it is present as $$C{l^ - }$$.
139.
What are the products formed in the reaction of xenon hexafluoride with silicon dioxide ?
A
$$XeSi{O_4} + HF$$
B
$$Xe{F_2} + Si{F_4}$$
C
$$XeO{F_4} + Si{F_4}$$
D
$$Xe{O_3} + Si{F_2}$$
Answer :
$$XeO{F_4} + Si{F_4}$$
$$2Xe{F_6} + Si{O_2} \to Si{F_4} + 2XeO{F_4}$$
140.
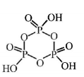
The number of $$P\, - \,O\, - P$$ bonds in cyclic metaphosphoric acid is
A
zero
B
two
C
three
D
four
Answer :
three
In cyclic metaphosporic acid number of $$P\, - \,O\, - P$$ bonds
is three.