Biomolecules MCQ Questions & Answers in Organic Chemistry | Chemistry
Learn Biomolecules MCQ questions & answers in Organic Chemistry are available for students perparing for IIT-JEE, NEET, Engineering and Medical Enternace exam.
181.
Which one of the following sets of monosaccharides forms sucrose?
A
$$\alpha {\text{ - }}D{\text{ - }}$$ galactopyranose and $$\alpha {\text{ - }}D{\text{ - }}$$ glucopyranose
B
$$\alpha {\text{ - }}D{\text{ - }}$$ glucopyranose and $$\beta {\text{ - }}D{\text{ - }}$$ fructofuranose
C
$$\beta {\text{ - }}D{\text{ - }}$$ glucopyranose and $$\alpha {\text{ - }}D{\text{ - }}$$ fructofuranose
D
$$\alpha {\text{ - }}D{\text{ - }}$$ glucopyranose and $$\beta {\text{ - }}D{\text{ - }}$$ fructopyranose
Sucrose is composed of $$\alpha {\text{ - }}D{\text{ - }}$$ glucopyranose and a $$\beta {\text{ - }}D{\text{ - }}$$ fructofuranose units which are joined by $$\alpha ,\beta {\text{ - }}$$ glycosidic linkage between $$C{\text{ - }}1$$ of the glucose unit and $$C{\text{ - }}2$$ of the fructose unit.
182.
$$RNA$$ is different from $$DNA$$ because $$RNA$$ contains
A
ribose sugar and thymine
B
ribose sugar and uracil
C
deoxyribose sugar and thymine
D
deoxyribose sugar and uracil
Answer :
ribose sugar and uracil
In $$RNA$$ the sugar is $$D - $$ ribose and base is uracil where as in $$DNA,$$ the sugar is $$D - $$ 2 de oxyribose and the nitrogenous base is thymine.
183.
Nucleotides in $$DNA$$ are linked by –
A
hydrogen bond
B
$$3',5'{\text{ - }}$$ phosphodiester bond
C
glycosidic bond
D
peptide bond
Answer :
$$3',5'{\text{ - }}$$ phosphodiester bond
Phosphate is linked to 3rd carbon of 1 and 5th carbon of the other sugar molecules.
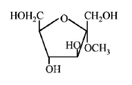
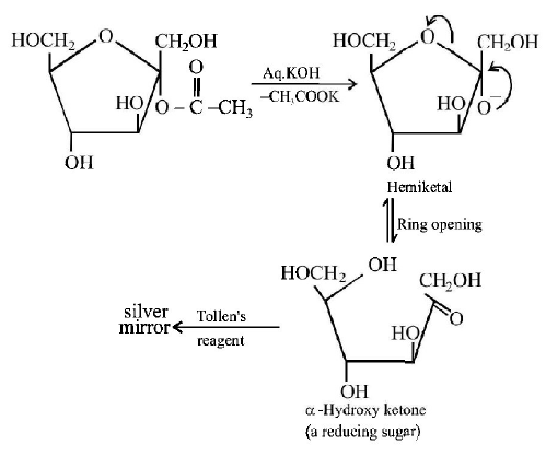
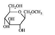
184.
Which of the following compounds will behave as a reducing sugar in an aqueous $$KOH$$ solution?
A
B
C
D
Answer :
185.
Which of the following statements is not true?
A
Glucose and fructose both are monosaccharides.
B
The natural glucose and fructose are $$D$$ - forms.
C
The solution having equal molecules of $$D$$ - glucose and $$D$$ - fructose is termed as invert sugar.
D
Aldohexoses exist in $${2^6}$$ optical forms.
Answer :
Aldohexoses exist in $${2^6}$$ optical forms.
Aldohexoses exist in $${2^4}\left( { = 16} \right)$$ optical forms.
186.
The letter $$'D'$$ in carbohydrates signifies
A
dextrorotatory
B
configuration
C
diamagnetic nature
D
mode of synthesis
Answer :
configuration
No explanation is given for this question. Let's discuss the answer together.
187.
Match List $$I$$ ( name of vitamin ) with List $$II$$ ( deficiency result/disease ) and select the correct answer using the codes given below the lists :
List I
List II
1.
Ascorbic acid
a.
Beri-beri
2.
Retinol
b.
Cracked lips
3.
Riboflavin
c.
Scurvy
4.
Thiamine
d.
Night blindness
A
1 - b, 2 - a, 3 - c, 4 - d
B
1 - a, 2 - b, 3 - c, 4 - d
C
1- d, 2 - c, 3 - b, 4 - a
D
1 - c, 2 - d, 3 - b, 4 - a
Answer :
1 - c, 2 - d, 3 - b, 4 - a
Ascorbic acid - Scurvy
Retinol - Night blindness
Riboflavin - Cracked lips
Thiamine - Beri-Beri
Thus option (D) is correct.
188.
The two forms of $$D - $$ glucopyranose obtained from the solution of $$D - $$ glucose are called
A
Isomers
B
Anomers
C
Epimers
D
Enantiomers
Answer :
Anomers
The two isomeric forms $$\left( {a - \,{\text{and}}\,b - } \right)$$ of
$$D - $$ glucopyronose differ in configuration only at $$C - 1;$$ hence these are called anomers.
189.
If one strand of $$DNA$$ has the sequence $$ATGCTTGA,$$ the sequence in the complimentary strand would be
A
$$TACGAACT$$
B
$$TCCGAACT$$
C
$$TACGTACT$$
D
$$TACGTAGT$$
Answer :
$$TACGAACT$$
On the basis of structure of guanine and complementary bases present in them, we
can say that if the sequence of bases in one strand of $$DNA$$ is $$I,$$ then the sequence in the second strand should be $$II$$
$$\eqalign{
& A:T:G:C:T:T:G:A{\text{ }}I \cr
& T:A:C:G:A:A:C:T{\text{ }}II \cr} $$
190.
Which of the following reactions of glucose can be explained only by its cyclic structure?
A
Glucose forms pentaacetate.
B
Glucose reacts with hydroxylamine to form an oxime.
C
Pentaacetate of glucose does not react with hydroxylamine.
D
Glucose is oxidised by nitric acid to gluconic acid.
Answer :
Pentaacetate of glucose does not react with hydroxylamine.
Pentaacetate of glucose does not react with $$N{H_2}OH$$ indicating absence of $$-CHO$$ group.