Carboxylic Acid MCQ Questions & Answers in Organic Chemistry | Chemistry

Learn Carboxylic Acid MCQ questions & answers in Organic Chemistry are available for students perparing for IIT-JEE, NEET, Engineering and Medical Enternace exam.

101. When $$C{H_2} = CH - COOH$$     is reduced with $$LiAl{H_4},$$  the compound obtained will be

A $$C{H_2} = CH - C{H_2}OH$$
B $$C{H_3} - C{H_2} - C{H_2}OH$$
C $$C{H_3} - C{H_2} - CHO$$
D $$C{H_3} - C{H_2} - COOH$$
Answer :   $$C{H_2} = CH - C{H_2}OH$$

102. A compound $$(X)$$  having molecular formula $${C_4}{H_8}{O_2}$$  is hydrolysed by water in presence of an acid to give a carboxylic acid $$(Y)$$  and an alcohol $$(Z).$$  $$(Z)$$  on oxidation with chromic acid gives $$(Y).$$  $$(X), (Y)$$   and $$(Z)$$  are
$$X$$ $$Y$$ $$Z$$
(a) $$C{H_3}COOC{H_3}$$ $$C{H_3}COOH$$ $$C{H_3}OH$$
(b) $$C{H_3}COO{C_2}{H_5}$$ $$C{H_3}COOH$$ $${C_2}{H_5}OH$$
(c) $${C_2}{H_5}COOC{H_3}$$ $${C_2}{H_5}COOH$$ $${C_2}{H_5}OH$$
(d) $$C{H_3}COO{C_2}{H_5}$$ $${C_2}{H_5}COOH$$ $$C{H_3}OH$$

A (a)
B (b)
C (c)
D (d)
Answer :   (b)

103. In Cannizzaro reaction given below
\[2PhCHO\xrightarrow{:\,\overset{\Theta }{\mathop{O}}\,H}PhC{{H}_{2}}OH+PhC\overset{\centerdot \centerdot }{\mathop{O}}\,_{2}^{\Theta }\]
the slowest step is :

A the transfer of hydride to the carbonyl group
B the abstraction of proton from the carboxylic group
C the deprotonation of \[Ph\,C{{H}_{2}}OH\]
D the attack of :  \[\overset{\Theta }{\mathop{OH}}\,\]  at the carboxyl group
Answer :   the transfer of hydride to the carbonyl group

104. Carboxylic Acid mcq question image \[\xrightarrow{\Delta }\left( A \right)\xrightarrow{Zn\left( Hg \right)/HCl}\left( B \right)\]     In the above reaction, product $$(B)$$  is :

A Carboxylic Acid mcq option image
B Carboxylic Acid mcq option image
C Carboxylic Acid mcq option image
D Carboxylic Acid mcq option image
Answer :   Carboxylic Acid mcq option image

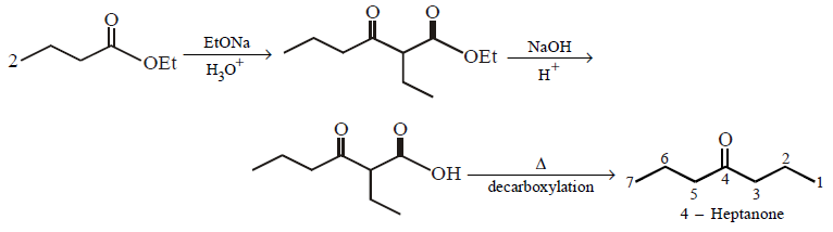
105. The correct product of the following sequence of reactions Carboxylic Acid mcq question image \[\xrightarrow[{{H}_{3}}{{O}^{+}}]{EtONa}\,\,\xrightarrow[{{H}_{3}}{{O}^{+}}]{NaOH,\,{{H}_{2}}O,\,\Delta }\,\,\xrightarrow{\Delta }?\]

A 4 - heptanone
B 4 - methyl - 3 - hexanone
C 2 - ethyl pentanoic acid
D 2 - propyl butanoic acid
Answer :   4 - heptanone

106. The correct product of the following reactions Carboxylic Acid mcq question image\[\xrightarrow[2\,C{{H}_{3}}I]{2\,EtONa}\,\,\xrightarrow[\left( \text{ii} \right)\,{{H}_{2}}O]{\left( \text{i} \right)\,LiAl{{H}_{4}}}\]

A 2, 2 - dimethyl propane diol
B 2 - methyl - 1 - propanol
C 2, 2 - dimethyl propanedioic acid
D 2 - methyl propanoic acid
Answer :   2, 2 - dimethyl propane diol

107. Complete the missing links $$(X), (Y)$$   and $$(Z)$$  by making an appropriate choice.
\[C{{H}_{3}}COOH\xrightarrow{\frac{PB{{r}_{3}}}{B{{r}_{2}}}}X\xrightarrow{KCN}\]      \[Y\xrightarrow{{{H}_{3}}{{O}^{+}}}Z\]
Carboxylic Acid mcq question image

A (a)
B (b)
C (c)
D (d)
Answer :   (b)

108. Which of the following is the correct order of relative strength of acids?

A $$ClC{H_2}COOH > BrC{H_2}COOH$$       $$ > FC{H_2}COOH$$
B $$BrC{H_2}COOH > ClC{H_2}COOH$$       $$ > FC{H_2}COOH$$
C $$FC{H_2}COOH > ClC{H_2}COOH$$       $$ > BrC{H_2}COOH$$
D $$ClC{H_2}COOH > FC{H_2}COOH$$       $$ > BrC{H_2}COOH$$
Answer :   $$FC{H_2}COOH > ClC{H_2}COOH$$       $$ > BrC{H_2}COOH$$

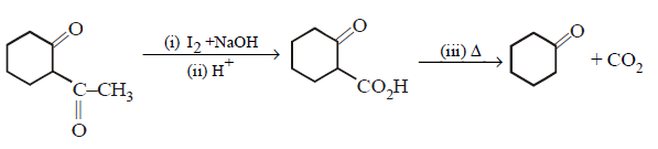
109. End product of the following sequence of reactions are :
Carboxylic Acid mcq question image  \[\xrightarrow[\begin{smallmatrix} 2.\,{{H}^{+}} \\ 3.\,\Delta \end{smallmatrix}]{1.\,{{I}_{2}}+NaOH,\,\Delta }\]

A yellow $$ppt.$$  of \[CH{{I}_{3}},\]   Carboxylic Acid mcq option image
B yellow $$ppt.$$  of \[CH{{I}_{3}},\]   Carboxylic Acid mcq option image
C yellow $$ppt.$$  of \[CH{{I}_{3}},\]   Carboxylic Acid mcq option image
D yellow $$ppt.$$  of   \[CH{{I}_{3}},\] Carboxylic Acid mcq option image
Answer :   yellow $$ppt.$$  of \[CH{{I}_{3}},\]   Carboxylic Acid mcq option image

110. The major product of following reaction is :
\[R-C\equiv N\xrightarrow[\left( \text{ii} \right)\,{{H}_{2}}O]{\left( \text{i} \right)\,AlH{{\left( \text{i}-Bu \right)}_{2}}}\]

A $$RCOOH$$
B $$RCON{H_2}$$
C $$RCHO$$
D $$RC{H_2}N{H_2}$$
Answer :   $$RCHO$$