General Organic Chemistry MCQ Questions & Answers in Organic Chemistry | Chemistry
Learn General Organic Chemistry MCQ questions & answers in Organic Chemistry are available for students perparing for IIT-JEE, NEET, Engineering and Medical Enternace exam.
151.
Identify the correct order of boiling points of the following compounds;
$$\mathop {C{H_3}C{H_2}C{H_2}C{H_2}OH}\limits_{\left( {\text{i}} \right)} ,$$ $$\mathop {C{H_3}C{H_2}C{H_2}CHO}\limits_{\left( {{\text{ii}}} \right)} ,$$ $$\mathop {C{H_3}C{H_2}C{H_2}COOH}\limits_{\left( {{\text{iii}}} \right)} $$
A
(i) > (ii) > (iii)
B
(iii) > (i) > (ii)
C
(i) > (iii) > (ii)
D
(iii) > (ii) > (i)
Answer :
(iii) > (i) > (ii)
In carboxylic acids, molecules are more strongly associated followed by alcohols.
152.
Which among the given molecules can exhibit tautomerism?
A
III Only
B
Both I and III
C
Both I and II
D
Both II and III
Answer :
III Only
In tautomerism, $$\alpha - hydrogen$$ must be present in the molecule. Thus, molecule II will not show tautomerism. As at bridge, double bond is highly unstable. Thus, molecule I will also not show tautomerism.
For III molecule,
So only, III molecule will show tautomerism. Thus, correct option is (A).
153.
$$1.6\,g$$ of an organic compound gave $$2.6\,g$$ of magnesium pyrophosphate. The percentage of phosphorus in the compound is
Stronger the acid, weaker the conjugate base. Since acid character follows the order
$${H_2}O > HC \equiv CH > N{H_3} > C{H_3} - C{H_3}$$
( Acid character ),
the basic character of their conjugate bases decreases in the reverse order, i.e.,
$$C{H_3}CH_2^ - > NH_2^ - > HC \equiv {C^ - } > O{H^ - }$$
(Basic character)
157.
The enolic form of ethyl acetoacetate as below has
A
18 sigma bonds and 2 $$pi$$ - bonds
B
16 sigma bonds and 1 $$pi$$ -bond
C
9 sigma bonds and 2 $$pi$$ -bonds
D
9 sigma bonds and 1 $$pi$$ -bond
Answer :
18 sigma bonds and 2 $$pi$$ - bonds
The enolic form of ethyl acetoacetate has 16 single bonds i.e. $$16\sigma - $$ bonds and 2 double bonds i.e. $$2\sigma - $$ bonds and $$2\pi - $$ bonds.
Hence, the given structure has $$18\,\sigma - $$ bonds and $$2\pi - $$ bonds.
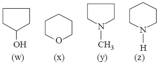
158.
Arrange the following $$(w, x, y, z)$$ in decreasing order of their boiling points :
A
$$w > x > z > y$$
B
$$w > x > y > z$$
C
$$w > z > y > x$$
D
$$w > z > x > y$$
Answer :
$$w > z > x > y$$
$$B.P.$$ $$ \propto $$ extent of $$H$$ bonding $$ \propto $$ surface area of molecule.
159.
Which of the following is a characteristic feature of a free radical?
A
It has a positive charge.
B
It has a negative charge.
C
It has all paired electrons.
D
It has an unpaired electron.
Answer :
It has an unpaired electron.
No explanation is given for this question. Let's discuss the answer together.
160.
Molecule in which the distance between the two adjacent carbon atoms is largest is
A
Ethane
B
Ethene
C
Ethyne
D
Benzene
Answer :
Ethane
TIPS/Formulae :
The bond length decreases in the order.
$$\mathop {s{p^3} - s{p^3}}\limits_{{\text{alkane}}} > \mathop {s{p^2} - s{p^2}}\limits_{{\text{alkene}}} > \mathop {sp - sp}\limits_{{\text{alkyne}}} $$
On the basis of the size of the hybrid orbitals, $$sp$$ orbital should form the shortest and $$s{p^3}$$ orbital the longest bond with other atom.