General Organic Chemistry MCQ Questions & Answers in Organic Chemistry | Chemistry

Learn General Organic Chemistry MCQ questions & answers in Organic Chemistry are available for students perparing for IIT-JEE, NEET, Engineering and Medical Enternace exam.

171. The correct IUPAC name of the compound
General Organic Chemistry mcq question image   is

A $$3 - ethyl - 4 - ethenylhep\tan e$$
B $$3 - ethyl - 4 - propylhex - 5 - ene$$
C $$3 - (\,1 - ethyl{\text{ }}propyl\,){\text{ }}hex - 1 - ene$$
D $$4 - ethyl - 3 - propylhex - 1 - ene$$
Answer :   $$4 - ethyl - 3 - propylhex - 1 - ene$$

172. The IUPAC name of
General Organic Chemistry mcq question image
is

A 1, 3-isopropyl-3-methyl propane
B 2, 3, 6-trimethyl heptane
C 2, 5, 6-trimethyl heptane
D 2, 6, 3-trimethyl heptane
Answer :   2, 3, 6-trimethyl heptane

173. Names of some compounds are given. Which one is not correct in IUPAC system?

A General Organic Chemistry mcq option image
B General Organic Chemistry mcq option image
C General Organic Chemistry mcq option image
D General Organic Chemistry mcq option image
Answer :   General Organic Chemistry mcq option image

174. Stability of alkyl carbocations can be explained by

A inductive effect only
B hyperconjugation only
C both inductive effect and hyperconjugation
D electromeric effect only
Answer :   both inductive effect and hyperconjugation

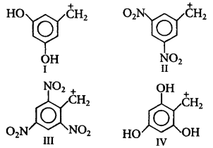
175. Arrange the following carbocations in decreasing order of stability.
General Organic Chemistry mcq question image

A II > I > III > IV
B III > IV > I > II
C II > III > I > IV
D IV > I > II > III
Answer :   IV > I > II > III

176. The hybridization of carbon atoms in $$C-C$$  single bond of $$HC \equiv C - CH = C{H_2}\,{\text{is}}$$

A $$s{p^3} - s{p^3}$$
B $$s{p^2} - s{p^3}$$
C $$sp - s{p^2}$$
D $$s{p^3} - sp$$
Answer :   $$sp - s{p^2}$$

177. In Carius method of estimation of halogen, $$0.15\,g$$  of an organic compound gave $$0.12\,g$$  of $$AgBr.$$  What is the percentage of bromine in the compound?

A $$68.08\% $$
B $$34.04\% $$
C $$42.1\% $$
D $$50\% $$
Answer :   $$34.04\% $$

178. Which of the following is a false statement?

A Free radicals, carbonium ions or carbanions are reaction intermediates
B Reaction between methane and chlorine in presence of sunlight proceeds $$via$$  free radical
C The electronegative atom in the carbon chain produces $$+I$$  effect
D Homolytic fission of $$C - C$$  bonds gives free radicals
Answer :   The electronegative atom in the carbon chain produces $$+I$$  effect

179. Which of the following represents the given sequence of hybridisation of carbon atoms from left to right $$s{p^2},s{p^2},sp,sp?$$

A $${H_2}C = CH - C \equiv CH$$
B $$HC \equiv C - CH = C{H_2}$$
C $${H_3}C - CH = CH - C{H_3}$$
D $${H_2}C = CH - CH = C{H_2}$$
Answer :   $${H_2}C = CH - C \equiv CH$$

180. Freshly prepared solution of sodium nitroprusside is added to the sodium extract. Appearance of a deep violet colour indicates the presence of

A nitrogen
B sulphur
C both nitrogen and sulphur
D halogen
Answer :   sulphur