General Organic Chemistry MCQ Questions & Answers in Organic Chemistry | Chemistry

Learn General Organic Chemistry MCQ questions & answers in Organic Chemistry are available for students perparing for IIT-JEE, NEET, Engineering and Medical Enternace exam.

181. The correct statement regarding a carbonyl compound with a hydrogen atom on its alpha-carbon, is

A a carbonyl compound with a hydrogen atom on its alpha-carbon rapidly equilibrates with its corresponding enol and this process is known as aldehyde-ketone equilibration
B a carbonyl compound with a hydrogen atom on its alpha-carbon rapidly equilibrates with its corresponding enol and this process is known as carbonylation
C a carbonyl compound with a hydrogen atom on its alpha-carbon rapidly equilibrates with its corresponding enol and this process is known as keto-enol tautomerism
D a carbonyl compound with a hydrogen atom on its alpha-carbon never equilibrates with its corresponding enol
Answer :   a carbonyl compound with a hydrogen atom on its alpha-carbon rapidly equilibrates with its corresponding enol and this process is known as keto-enol tautomerism

182. $$C{H_3} - CHCl - C{H_2} - C{H_3}$$      has a chiral centre. Which one of the following represents its $$R$$ -configuration?

A General Organic Chemistry mcq option image
B General Organic Chemistry mcq option image
C General Organic Chemistry mcq option image
D General Organic Chemistry mcq option image
Answer :   General Organic Chemistry mcq option image

183. Which of the following has the most acidic hydrogen ?

A 3 - Hexanone
B 2, 4 - Hexanedione
C 2, 5 - Hexanedione
D 2, 3 - Hexanedione
Answer :   2, 4 - Hexanedione

184. Isomers of a substance must have the same

A structural formula
B physical properties
C chemical properties
D molecular formula
Answer :   molecular formula

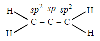
185. In allene $$\left( {{C_3}{H_4}} \right),$$  the type$$(s)$$ of hybridization of the carbon atoms is (are) :

A $$sp\,{\text{and}}\,s{p^3}$$
B $$s{p^2}\,{\text{and}}\,sp$$
C $${\text{only}}\,s{p^2}$$
D $$s{p^2}\,{\text{and}}\,s{p^3}$$
Answer :   $$s{p^2}\,{\text{and}}\,sp$$

186. What are the hybridization and shapes of the following molecules?
$$\eqalign{ & \left( {\text{i}} \right)C{H_3}F \cr & \left( {{\text{ii}}} \right)HC \equiv N \cr} $$

A $$\left( {\text{i}} \right)s{p^2},$$  trigonal planar; $$\left( {{\text{ii}}} \right)s{p^3},$$  tetrahedral
B $$\left( {\text{i}} \right)s{p^3},$$  tetrahedral ; $$\left( {{\text{ii}}} \right)sp,$$  linear
C $$\left( {\text{i}} \right)sp,$$  linear ; $$\left( {{\text{ii}}} \right)s{p^2},$$  trigonal planar
D $$\left( {\text{i}} \right)s{p^2},$$  trigonal planar, $$\left( {{\text{ii}}} \right)s{p^2},$$  trigonal planar
Answer :   $$\left( {\text{i}} \right)s{p^3},$$  tetrahedral ; $$\left( {{\text{ii}}} \right)sp,$$  linear

187. The IUPAC name of General Organic Chemistry mcq question image is

A 3 - ethyl - 4 - 4 - dimethylheptane
B 1, 1- diethyl - 2, 2 - dimethylpentane
C 4, 4 - dimethyl - 5, 5 - diethylpentane
D 5, 5 - diethyl - 4, 4 - dimethylpentane.
Answer :   3 - ethyl - 4 - 4 - dimethylheptane

188. The number of sigma and pi-bonds in 1-butene-3-yne are :

A 5 sigma and 5 pi
B 7 sigma and 3 pi
C 8 sigma and 2 pi
D 5 sigma and 4 pi
Answer :   7 sigma and 3 pi

189. Correct the increasing order of acidity is as

A $${H_2}O,{C_2}{H_2},{H_2}C{O_3},phenol$$
B $${C_2}{H_2},{H_2}O,{H_2}C{O_3},phenol$$
C $$phenol,{C_2}{H_2},{H_2}C{O_3},{H_2}O$$
D $${C_2}{H_2},{H_2}O,phenol\,{\text{and}}\,{H_2}C{O_3}$$
Answer :   $${C_2}{H_2},{H_2}O,phenol\,{\text{and}}\,{H_2}C{O_3}$$

190. Separation of two substances by crystallisation depends upon their differences in

A densities
B solubility
C melting points
D boiling points
Answer :   solubility