General Organic Chemistry MCQ Questions & Answers in Organic Chemistry | Chemistry
Learn General Organic Chemistry MCQ questions & answers in Organic Chemistry are available for students perparing for IIT-JEE, NEET, Engineering and Medical Enternace exam.
191.
Electronegativity of carbon atoms depends upon their state of hybridisation. In which of the following compounds, the carbon marked with asterisk is most electronegative?
The greater the $$s$$ character of the hybrid orbitals, the greater is the electronegativity. Thus, a carbon atom having an $$sp$$ hybrid orbital with $$50\% \,s$$ character is more electronegative than those possessing $$s{p^2}$$ or $$s{p^3}$$ hybridised orbitals .
The asterisk marked carbon in $$C{H_3} - C{H_2} - C \equiv \mathop C\limits^ * H$$ is $$sp$$ hybridised hence, it is most electronegative.
192.
Ionic species are stabilised by the dispersal of charge. Which of the following carboxylate ion is the most stable?
A
B
C
D
Answer :
As $$F$$ is most electronegative and in this structure there are two $$F$$ atoms, therefore, dispersal of negative charge is maximum hence it is the most stable.
193.
The correct IUPAC name of the compound is
A
3-heptyl-5-methylhept-3-ene
B
5, 6-diethyl-3-methyldec-4-ene
C
5-butyl-3-methyloct-4-ene
D
8-methyl-3-propylhex-3-ene
Answer :
5, 6-diethyl-3-methyldec-4-ene
194.
Which one of the following compounds has non zero dipole moment ?
A
B
C
D
Answer :
$$C$$ is molecule has non-zero dipole moment.
195.
Which of the following is an optically active compound?
A
1 - butanol
B
1 - propanol
C
2 - chlorobutane
D
4 - hydroxybutanal
Answer :
2 - chlorobutane
2-chlorobutane has the structure
It is optically active due to the presence of asymmetric carbon atom $$\left( {{C^*}} \right).$$
196.
Among the following, the compound that can be most readily sulphonated is
A
benzene
B
nitrobenzene
C
toluene
D
chlorobenzene
Answer :
toluene
TIPS/FORMULAE :
$$ - N{O_2}, - Cl\,\,{\text{and}}\, - OH$$ are electron-attracting or withdrawing group due to $$ - M, - E\,\,\,{\text{and/or}}\, - I$$ effects where as $$C{H_3}$$ show, $$ + I$$ effect ( electron releasing ).
Because of the $$ + I$$ effect of the $$C{H_3}$$ group, toluene has the highest electron density in the $$o - $$ and $$p - $$ positions and hence can be most readily sulphonated.
197.
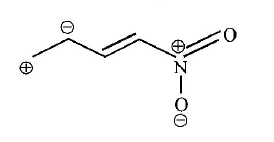
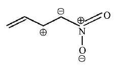
Among the following, the least stable resonance structure is
A
B
C
D
Answer :
Due to similar charges on adjacent atoms, the structure (A) is least stable.
198.
$$0.92\,g$$ of an organic compound was analysed by combustion method. The mass of the $$U$$ - tube increased by $$1.08\,g.$$ What is the percentage of hydrogen in the compound?
A
$$13.04\% $$
B
$$52.17\% $$
C
$$65.21\% $$
D
$$11.30\% $$
Answer :
$$13.04\% $$
$$\eqalign{
& {\text{Increase in mass of }}U{\text{ - tube}} = 1.08\,g \cr
& {\text{Mass of water formed}} = 1.08\,g \cr
& 18\,g\,{H_2}O \equiv 2\,g\,H \cr
& 1.08\,g\,{H_2}O = \frac{2}{{18}} \times 1.08 \cr} $$
$$\% \,{\text{ of hydrogen }} = \frac{2}{{18}} \times \frac{{1.08}}{{0.92}} \times 100$$ $$ = 13.04\% $$
199.
In pyrrole
the electron density is maximum on
A
2 and 3
B
3 and 4
C
2 and 4
D
2 and 5
Answer :
2 and 5
The conjugation (delocalisation) of electrons in pyrrole can be visualised as
As resonating structures III and IV are more stable than II and V. Thus, maximum electron density will be found on carbon 2 and 5.
200.
The bond between carbon atom (1) and carbon atom (2) in compound $$N = \mathop C\limits_1 - \mathop {CH}\limits_2 = C{H_2}$$ involves the hybrids as
A
$$s{p^2}\,{\text{and}}\,s{p^2}$$
B
$$s{p^{3\,}}{\text{and}}\,sp$$
C
$$sp\,{\text{and}}\,s{p^2}$$
D
$$sp\,{\text{and}}\,sp$$
Answer :
$$sp\,{\text{and}}\,s{p^2}$$
Carbon bonded with a triple bond $$\left( {i.e.\,\,{C_1}} \right)$$ is $$sp$$ hybridised. Carbon bonded with a double bond $$\left( {{C_2}} \right)\,$$ is $$s{p^2}$$ hybridised.