General Organic Chemistry MCQ Questions & Answers in Organic Chemistry | Chemistry

Learn General Organic Chemistry MCQ questions & answers in Organic Chemistry are available for students perparing for IIT-JEE, NEET, Engineering and Medical Enternace exam.

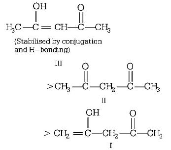
291. The order of stability of the following tautomeric compound is
General Organic Chemistry mcq question image
General Organic Chemistry mcq question image

A I > II > III
B III > II > I
C II > I > III
D II > III > I
Answer :   III > II > I

292. General Organic Chemistry mcq question image
The correct order of heats of combustion of above compounds is :

A I > II > III
B II > I > III
C III > II > I
D III > I > II
Answer :   III > II > I

293. In the following groups
$$\eqalign{ & \mathop { - OAc}\limits_{\left( {\text{i}} \right)} \cr & \mathop { - OMe}\limits_{\left( {{\text{ii}}} \right)} \cr & \mathop { - OS{O_2}Me}\limits_{\left( {{\text{iii}}} \right)} \cr & \mathop { - OS{O_2}C{F_3}}\limits_{\left( {{\text{iv}}} \right)} \cr} $$
the order of leaving group ability is

A (i) > (ii) > (iii) > (iv)
B (iv) > (iii) > (i) > (ii)
C (iii) > (ii) > (i) > (iv)
D (ii) > (iii) > (iv) > (i)
Answer :   (iv) > (iii) > (i) > (ii)

294. Correct representation of 3-methylpent-3-en-2-ol is

A General Organic Chemistry mcq option image
B General Organic Chemistry mcq option image
C General Organic Chemistry mcq option image
D General Organic Chemistry mcq option image
Answer :   General Organic Chemistry mcq option image

295. In which of the following species hyperconjugation is possible?

A $$C{H_3} - C{H_2}$$
B $${C_6}{H_5} - C{H_3}$$
C $$C{H_2} = C{H_2}$$
D \[C{{H}_{3}}\underset{\begin{smallmatrix} | \\ \,\,\,\,C{{H}_{3}} \end{smallmatrix}}{\overset{\begin{smallmatrix} \,\,\,\,\,C{{H}_{3}} \\ | \end{smallmatrix}}{\mathop{-C-}}}\,CH=C{{H}_{2}}\]
Answer :   $${C_6}{H_5} - C{H_3}$$

296. Match the column I with column II in which formula for estimation of an element is given and mark the appropriate choice.
Column I Column II
a. Estimation of carbon 1. $$\frac{{80}}{{188}} \times \frac{{{w_l}}}{w} \times 100$$
b. Estimation of nitrogen 2. $$\frac{{62}}{{222}} \times \frac{{{w_l}}}{w} \times 100$$
c. Estimation of bromine 3. $$\frac{{32}}{{233}} \times \frac{{{w_l}}}{w} \times 100$$
d. Estimation of sulphur 4. $$\frac{{28}}{{22400}} \times \frac{V}{w} \times 100$$
e. Estimation of phosphorus 5. $$\frac{{12}}{{44}} \times \frac{{{w_l}}}{w} \times 100$$

A a - 5, b - 2, c - 4, d - 1, e - 3
B a - 5, b - 4, c - 1, d - 3, e - 2
C a - 5, b - 4, c - 2, d - 1, e - 3
D a - 4, b - 3, c - 1, d - 2, e - 5
Answer :   a - 5, b - 4, c - 1, d - 3, e - 2

297. Which of the following names of substituted benzene compounds is not correct?

A General Organic Chemistry mcq option image
B General Organic Chemistry mcq option image
C General Organic Chemistry mcq option image
D General Organic Chemistry mcq option image
Answer :   General Organic Chemistry mcq option image

298. Match the compounds given in column I with the IUPAC names given in column II and mark the appropriate choice.
General Organic Chemistry mcq question image

A A - ii, B - i, C - iii, D - iv
B A - iv, B - ii, C - i, D - iii
C A - i, B - iii, C - ii, D - iv
D A - iii, B - iv, C - ii, D - i
Answer :   A - iii, B - iv, C - ii, D - i

299. Which one of the following compounds is resistant to nucleophilic attack by hydroxyl ions?

A Methyl acetate
B Acetonitrile
C Dimethyl ether
D Acetamide
Answer :   Dimethyl ether

300. Which of the following biphenyls is optically active?

A General Organic Chemistry mcq option image
B General Organic Chemistry mcq option image
C General Organic Chemistry mcq option image
D General Organic Chemistry mcq option image
Answer :   General Organic Chemistry mcq option image