Aldehyde and Ketone MCQ Questions & Answers in Organic Chemistry | Chemistry

Learn Aldehyde and Ketone MCQ questions & answers in Organic Chemistry are available for students perparing for IIT-JEE, NEET, Engineering and Medical Enternace exam.

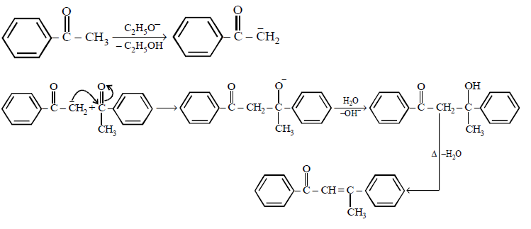
101. Acetophenone when reacted with a base, \[{{C}_{2}}{{H}_{5}}ONa,\]   yields a stable compound which has the structure.

A Aldehyde and Ketone mcq option image
B Aldehyde and Ketone mcq option image
C Aldehyde and Ketone mcq option image
D Aldehyde and Ketone mcq option image
Answer :   Aldehyde and Ketone mcq option image

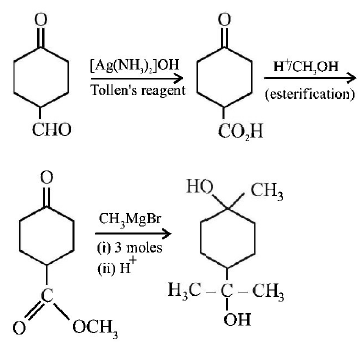
102. The correct sequence of reagents for the following conversion will be :
Aldehyde and Ketone mcq question image

A $${\left[ {Ag{{\left( {N{H_3}} \right)}_2}} \right]^ + }O{H^ - },{H^ + }/C{H_3}OH,C{H_3}MgBr$$
B $$C{H_3}MgBr,{H^ + }/C{H_3}OH,{\left[ {Ag{{\left( {N{H_3}} \right)}_2}} \right]^ + }O{H^ - }$$
C $$C{H_3}MgBr,{\left[ {Ag{{\left( {N{H_3}} \right)}_2}} \right]^ + }O{H^ - },{H^ + }/C{H_3}OH$$
D $${\left[ {Ag{{\left( {N{H_3}} \right)}_2}} \right]^ + }O{H^ - },C{H_3}MgBr,{H^ + }/C{H_3}OH$$
Answer :   $${\left[ {Ag{{\left( {N{H_3}} \right)}_2}} \right]^ + }O{H^ - },{H^ + }/C{H_3}OH,C{H_3}MgBr$$

103. Benzaldehyde reacts with ethanolic $$KCN$$  to give

A $${C_6}{H_5}CHOHCN$$
B $${C_6}{H_5}CHOHCO{C_6}{H_5}$$
C $${C_6}{H_5}CHOHCOOH$$
D $${C_6}{H_5}CHOHCHOH{C_6}{H_5}$$
Answer :   $${C_6}{H_5}CHOHCO{C_6}{H_5}$$

104. The oxidation of toluene to benzaldehyde by chromyl chloride is called

A Etard reaction
B Riemer-Tiemann reaction
C Wurtz reaction
D Cannizzaro reaction
Answer :   Etard reaction

105. Which of the following will respond to Cannizzaro’s reaction ?

A 2, 2 - Dimethylpropanal
B Acetaldehyde
C Propionaldehyde
D Cinnamaldehyde
Answer :   2, 2 - Dimethylpropanal

106. In Cannizzaro reaction given below
\[2PhCHO\xrightarrow{:O{{H}^{-}}}PhC{{H}_{2}}OH+PhC\ddot{O}_{2}^{-}\]
the slowest step is :

A the transfer of proton to the carbonyl group
B the abstraction of proton from the carboxylic group
C the deprotonation of \[Ph\,C{{H}_{2}}OH\]
D the attack of : \[\bar{O}H\]  at the carboxyl group
Answer :   the transfer of proton to the carbonyl group

107. The correct structure of the product $$A$$ formed in the reaction
Aldehyde and Ketone mcq question image \[\xrightarrow[\text{Pd/carbon, ethanol}]{{{H}_{2}}\left( \text{gas, 1 atmosphere} \right)}A\]     is

A Aldehyde and Ketone mcq option image
B Aldehyde and Ketone mcq option image
C Aldehyde and Ketone mcq option image
D Aldehyde and Ketone mcq option image
Answer :   Aldehyde and Ketone mcq option image

108. $$R - CH = CH - CHO + N{H_2}$$       \[\overset{\begin{smallmatrix} O \\ \parallel \end{smallmatrix}}{\mathop{-C-}}\,NHN{{H}_{2}}\xrightarrow{{{H}^{+}}}X\]
$$(X)$$  in the above reaction is

A \[R-CH=CH\overset{\begin{smallmatrix} \,OH \\ |\,\,\, \end{smallmatrix}}{\mathop{-CH-}}\,N{{H}_{2}}CONHN{{H}_{2}}\]
B \[R-CH=CH-CH=\]     \[N-NH\overset{\begin{smallmatrix} O \\ \parallel \end{smallmatrix}}{\mathop{-C-}}\,N{{H}_{2}}\]
C \[R-CH=N{{H}_{2}}CON{{H}_{2}}\]
D \[R-CH=CH\underset{\begin{smallmatrix} |\,\,\,\,\, \\ OH\,\, \end{smallmatrix}}{\mathop{-CH-}}\,N{{H}_{2}}COCH\]       \[=NHN{{H}_{2}}\]
Answer :   \[R-CH=CH-CH=\]     \[N-NH\overset{\begin{smallmatrix} O \\ \parallel \end{smallmatrix}}{\mathop{-C-}}\,N{{H}_{2}}\]

109. Which of the following compounds does not react with $$NaHS{O_3}?$$

A $$HCHO$$
B $${C_6}{H_5}COC{H_3}$$
C $$C{H_3}COC{H_3}$$
D $$C{H_3}CHO$$
Answer :   $${C_6}{H_5}COC{H_3}$$

110. Which of the following is the most reactive isomer?

A \[C{{H}_{3}}C{{H}_{2}}C{{H}_{2}}C{{H}_{2}}\overset{\begin{smallmatrix} O \\ \parallel \end{smallmatrix}}{\mathop{-C-}}\,H\]
B \[C{{H}_{3}}C{{H}_{2}}C{{H}_{2}}\overset{\begin{smallmatrix} O \\ \parallel \end{smallmatrix}}{\mathop{-C-}}\,C{{H}_{3}}\]
C \[C{{H}_{3}}C{{H}_{2}}\overset{\begin{smallmatrix} O \\ \parallel \end{smallmatrix}}{\mathop{-C-}}\,C{{H}_{2}}C{{H}_{3}}\]
D \[C{{H}_{3}}\overset{\begin{smallmatrix} O \\ \parallel \end{smallmatrix}}{\mathop{-C-}}\,\underset{\begin{smallmatrix} |\,\,\,\,\,\,\,\,\,\, \\ C{{H}_{3}}\,\,\,\,\,\, \end{smallmatrix}}{\mathop{CH-}}\,C{{H}_{3}}\]
Answer :   \[C{{H}_{3}}C{{H}_{2}}C{{H}_{2}}C{{H}_{2}}\overset{\begin{smallmatrix} O \\ \parallel \end{smallmatrix}}{\mathop{-C-}}\,H\]