Aldehyde and Ketone MCQ Questions & Answers in Organic Chemistry | Chemistry

Learn Aldehyde and Ketone MCQ questions & answers in Organic Chemistry are available for students perparing for IIT-JEE, NEET, Engineering and Medical Enternace exam.

11. Phenol reacts with methyl chloroformate in the presence of $$NaOH$$  to form product $$A.$$  $$A$$ reacts with $$B{r_2}$$  to form product $$B.$$  $$A$$ and $$B$$ are respectively :

A Aldehyde and Ketone mcq option image
B Aldehyde and Ketone mcq option image
C Aldehyde and Ketone mcq option image
D Aldehyde and Ketone mcq option image
Answer :   Aldehyde and Ketone mcq option image

12. Which one of the following undergoes reaction with 50% sodium hyroxide solution to give the corresponding alcohol and acid?

A Butanal
B Benzaldehyde
C Phenol
D Benzoic acid
Answer :   Benzaldehyde

13. Which of the following gives ethanal $$C{H_3}CHO$$   on acid hydrolysis ?

A Aldehyde and Ketone mcq option image
B Aldehyde and Ketone mcq option image
C Aldehyde and Ketone mcq option image
D Aldehyde and Ketone mcq option image
Answer :   Aldehyde and Ketone mcq option image

14. Which one of the following will most readily be dehydrated in acidic condition ?

A Aldehyde and Ketone mcq option image
B Aldehyde and Ketone mcq option image
C Aldehyde and Ketone mcq option image
D Aldehyde and Ketone mcq option image
Answer :   Aldehyde and Ketone mcq option image

15. The addition of $$HCN$$  to carbonyl compounds is an example of

A nucleophilic addition
B electrophilic addition
C free radical addition
D elimination addition
Answer :   nucleophilic addition

16. The starting compounds needed to make the following compound ?
Aldehyde and Ketone mcq question image

A benzaldehyde and 3 - pentanone
B acetophenone and 2 - butanone
C acetophenone and butanal
D benzaldehyde and 2 - pentanone
Answer :   benzaldehyde and 3 - pentanone

17. Aldol condensation will not take place in

A $$HCHO$$
B $$C{H_3}CHO$$
C $$C{H_3}COC{H_3}$$
D $$C{H_3}C{H_2}CHO$$
Answer :   $$HCHO$$

18. Compounds $$(A)$$  and $$(C)$$  in the following reactions are
\[C{H_3}CHO\xrightarrow[{\left( {{\text{ii}}} \right)\,{H_2}O}]{{\left( {\text{i}} \right)\,C{H_3}MgBr}}\left( A \right)\]      \[\xrightarrow{{{H_2}S{O_4},\,\Delta }}\left( B \right)\]   \[\xrightarrow{{{\text{Hydroboration oxidation}}}}\left( C \right)\]

A identical
B positional isomers
C functional isomers
D optical isomers
Answer :   positional isomers

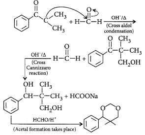
19. The major product of the following reaction sequence is
Aldehyde and Ketone mcq question image \[\xrightarrow[\left( \text{ii} \right)\frac{HCHO}{{{H}^{+}}\left( \text{catalytic}\,\,\text{amount} \right)}]{\left( \text{i} \right)\frac{HCHO\,\left( \text{excess} \right)}{NaOH,\,\text{heat}}}\]

A Aldehyde and Ketone mcq option image
B Aldehyde and Ketone mcq option image
C Aldehyde and Ketone mcq option image
D Aldehyde and Ketone mcq option image
Answer :   Aldehyde and Ketone mcq option image

20. There is a large difference in the boiling points of butanal and butan-1-ol due to

A intermolecular hydrogen bonding in butan-1-ol
B intramolecular hydrogen bonding in butanal
C higher molecular mass of butan-1-ol
D resonance shown by butanal
Answer :   intermolecular hydrogen bonding in butan-1-ol