Aldehyde and Ketone MCQ Questions & Answers in Organic Chemistry | Chemistry

Learn Aldehyde and Ketone MCQ questions & answers in Organic Chemistry are available for students perparing for IIT-JEE, NEET, Engineering and Medical Enternace exam.

51. The reagents which can be used to distinguish acetophenone from benzophenone is (are)

A 2, 4 - dinitrophenyl hydrazine
B aqueous solution of $$NaHS{O_3}$$
C Benedict reagent
D $${I_2}$$ and $$N{a_2}C{O_3}$$
Answer :   $${I_2}$$ and $$N{a_2}C{O_3}$$

52. What are the correct steps to convert acetaldehyde to acetone?

A $${C_2}{H_5}MgBr,{H_2}O,{\text{Oxidation}}$$
B $${\text{Oxidation}},Ca{\left( {OH} \right)_2},{\text{Heat}}$$
C $${\text{Reduction, }}KCN{\text{, Hydrolysis }}$$
D $${\text{Oxidation}},{C_2}{H_5}ONa,{\text{Heat}}$$
Answer :   $${\text{Oxidation}},Ca{\left( {OH} \right)_2},{\text{Heat}}$$

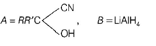
53. $$A$$ and $$B$$ in the following reactions are
Aldehyde and Ketone mcq question image

A Aldehyde and Ketone mcq option image
B Aldehyde and Ketone mcq option image
C Aldehyde and Ketone mcq option image
D Aldehyde and Ketone mcq option image
Answer :   Aldehyde and Ketone mcq option image

54. In the following reaction sequence, the correct structures of $$E,$$ $$F$$ and $$G$$ are
Aldehyde and Ketone mcq question image
\[\left[ * \right.\text{implies}{{\,}^{13}}C\,\,\left. \text{labelled carbon} \right)\]

A Aldehyde and Ketone mcq option image
B Aldehyde and Ketone mcq option image
C Aldehyde and Ketone mcq option image
D Aldehyde and Ketone mcq option image
Answer :   Aldehyde and Ketone mcq option image

55. Which of the following will not give aldol condensation?

A Phenyl acetaldehyde
B 2-Methylpentanal
C Benzaldehyde
D 1-Phenylpropanone
Answer :   Benzaldehyde

56. The major product of the following reaction is :
\[C{{H}_{3}}CH=CHC{{O}_{2}}C{{H}_{3}}\xrightarrow{LiAl{{H}_{4}}}\]

A $$C{H_3}C{H_2}C{H_2}C{O_2}C{H_3}$$
B $$C{H_3}CH = CHC{H_2}OH$$
C $$C{H_3}C{H_2}C{H_2}C{H_2}OH$$
D $$C{H_3}C{H_2}C{H_2}CHO$$
Answer :   $$C{H_3}CH = CHC{H_2}OH$$

57. What is the product of the following reaction ?
Aldehyde and Ketone mcq question image  \[\xrightarrow[DMSO]{{{\left( {{C}_{6}}{{H}_{5}} \right)}_{3}}{{P}^{+}}-\,\ddot{C}H_{2}^{-}}\]

A 2 - methyl - 1- pentene
B 4 - methyl - 1- pentene
C 2 - methyl - 2- propyloxirane
D 1 - pentene
Answer :   2 - methyl - 1- pentene

58. Ethyl acetate is obtained when methylmagnesium iodide reacts with

A ethyl formate
B ethyl chloroformate
C acetyl chloride
D carbon dioxide
Answer :   ethyl chloroformate

59. Cannizzaro's reaction is not given by _______.

A Aldehyde and Ketone mcq option image
B Aldehyde and Ketone mcq option image
C Aldehyde and Ketone mcq option image
D Aldehyde and Ketone mcq option image
Answer :   Aldehyde and Ketone mcq option image

60. The best method to purify impure acetone is

A \[C{{H}_{3}}COC{{H}_{3}}+HCl\to \]     \[C{{H}_{3}}\underset{\begin{smallmatrix} | \\ Cl \end{smallmatrix}}{\overset{\begin{smallmatrix} \,\,\,\,OH \\ | \end{smallmatrix}}{\mathop{-C-}}}\,C{{H}_{3}}\xrightarrow{\text{heat}}\]     \[C{{H}_{3}}COC{{H}_{3}}\]
B \[C{{H}_{3}}COC{{H}_{3}}+NaHS{{O}_{3}}\to \]      \[C{{H}_{3}}\underset{\begin{smallmatrix} | \\ \,\,\,C{{H}_{3}} \end{smallmatrix}}{\overset{\begin{smallmatrix} \,\,\,\,OH \\ | \end{smallmatrix}}{\mathop{-C-}}}\,S{{O}_{3}}Na\xrightarrow{N{{a}_{2}}C{{O}_{3}}}\]      \[C{{H}_{3}}COC{{H}_{3}}\]
C \[C{{H}_{3}}COC{{H}_{3}}+HCN\to \]     \[C{{H}_{3}}\underset{\begin{smallmatrix} | \\ \,CN \end{smallmatrix}}{\overset{\begin{smallmatrix} \,\,\,\,OH \\ | \end{smallmatrix}}{\mathop{-C-}}}\,C{{H}_{3}}\xrightarrow{HOH}\]     \[C{{H}_{3}}COC{{H}_{3}}\]
D \[C{{H}_{3}}COC{{H}_{3}}+{{H}_{2}}S{{O}_{4}}\to \]     \[\underset{\begin{smallmatrix} | \\ \,\,\,\,\,\,\,\,\,OS{{O}_{3}}H \end{smallmatrix}}{\overset{\begin{smallmatrix} \,\,\,\,OH \\ | \end{smallmatrix}}{\mathop{C{{H}_{3}}-C-C{{H}_{3}}}}}\,\xrightarrow{\text{heat}}C{{H}_{3}}COC{{H}_{3}}\]
Answer :   \[C{{H}_{3}}COC{{H}_{3}}+NaHS{{O}_{3}}\to \]      \[C{{H}_{3}}\underset{\begin{smallmatrix} | \\ \,\,\,C{{H}_{3}} \end{smallmatrix}}{\overset{\begin{smallmatrix} \,\,\,\,OH \\ | \end{smallmatrix}}{\mathop{-C-}}}\,S{{O}_{3}}Na\xrightarrow{N{{a}_{2}}C{{O}_{3}}}\]      \[C{{H}_{3}}COC{{H}_{3}}\]