Biomolecules MCQ Questions & Answers in Organic Chemistry | Chemistry
Learn Biomolecules MCQ questions & answers in Organic Chemistry are available for students perparing for IIT-JEE, NEET, Engineering and Medical Enternace exam.
211.
Imino acid among these compounds is
A
serine
B
proline
C
tyrosine
D
lysine
Answer :
proline
Proline contains imino ( secondary amino ), group
212.
Glycosidic linkage is an
A
amide linkage
B
ester linkage
C
ether linkage
D
acetyl linkage
Answer :
ether linkage
No explanation is given for this question. Let's discuss the answer together.
213.
Which of the following is a steroid hormone ?
A
Cholesterol
B
Adrenaline
C
Thyroxine
D
Progesterone
Answer :
Progesterone
Progesterone (Gestogens) is a steroid hormone, which controls the development and maintainance of pregnancy. Thryoxine and adrenaline are amine hormones.
214.
Which is correct statement ?
A
Starch is a polymer of $$\alpha $$ - glucose
B
In cyclic structure of fructose, there are four carbons and one oxygen atom
C
Amylose is a component of cellulose
D
Proteins are composed of only one type of amino acids
Answer :
Starch is a polymer of $$\alpha $$ - glucose
Starch is also known as amylum which occurs in all green plants. A molecule of starch $${\left( {{C_6}{H_{10}}{O_5}} \right)_n}$$ is built of a large number of $$\alpha $$ - glucose rings joined through oxygen atom.
215.
Chargaff’s rule states that in an organism
A
amount of adenine $$(A)$$ is equal to that of cytosine $$(C)$$ and the amount of thymine $$(T)$$ is equal to that of guanine $$(G)$$
B
amounts of all bases are equal
C
amount of adenine $$(A)$$ is equal to that of thymine $$(T)$$ and the amount of guanine $$(G)$$ is equal to that of cytosine $$(C)$$
D
amount of adenine $$(A)$$ is equal to that of guanine $$(G)$$ and the amount of thymine $$(T)$$ is equal to that of cytosine $$(C)$$
Answer :
amount of adenine $$(A)$$ is equal to that of thymine $$(T)$$ and the amount of guanine $$(G)$$ is equal to that of cytosine $$(C)$$
Chargaff’s rule states that amount of adenine $$(A)$$ is equal to that of the amount of thymine $$(T)$$ and the amount of guanine $$(G)$$ is equal to that of the amount of cytosine $$(C).$$
216.
How many $$C$$ - atoms are there in a pyranose ring?
A
3
B
5
C
6
D
7
Answer :
5
No explanation is given for this question. Let's discuss the answer together.
217.
Which of the following pairs can be distinguished by Fehling’s solution ?
A
Glucose and fructose
B
Glucose and sucrose
C
Methanal and ethanal
D
Hydroxypropanone and benzaldehyde.
Answer :
Glucose and sucrose
Glucose is a hemiacetal, so in presence of a base ( alkaline medium is provided by Fehling’s solution ) it can develop $$ - CHO$$ group in the form of open chain structure which responds Fehling’s solution. Sucrose is a glycoside (acetal), i.e. its hemiacetal $$OH$$ groups ( one due to glucose and another due to fructose ) are not free, so it can’t attain $$ - CHO$$ group. Hence it will not respond Fehling’s solution.
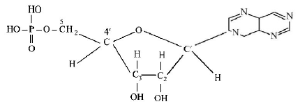
218.
In both $$DNA$$ and $$RNA,$$ heterocylic base and phosphate
ester linkages are at -
A
\[C_{5}^{'}\,\] and \[C_{1}^{'}\] respectively of the sugar molecule
B
\[C_{1}^{'}\,\] and \[C_{5}^{'}\] respectively of the sugar molecule
C
\[C_{2}^{'}\] and \[C_{5}^{'}\] respectively of the sugar molecule
D
\[C_{5}^{'}\] and \[C_{2}^{'}\] respectively of the sugar molecule
Answer :
\[C_{1}^{'}\,\] and \[C_{5}^{'}\] respectively of the sugar molecule
In $$DNA$$ and $$RNA$$ heterocyclic base and phosphate
ester are at \[C_{1}^{'}\] and \[C_{5}^{'}\] respectively of the sugar
molecule.
219.
Which one of the following statements is not true regarding $$(+)$$ lactose?
A
On hydrolysis, $$(+)$$ lactose gives equal amount of $$D\left( + \right)$$ glucose and $$D\left( + \right)$$ galactose.
B
$$\left( + \right)$$ Lactose is a $$\beta {\text{ - }}$$ glucoside formed by the union of a molecule of $$D\left( + \right)$$ glucose and a molecule of $$D\left( + \right)$$ galactose.
C
$$\left( + \right)$$ Lactose is a reducing sugar and does not exhibit mutarotation.
Answer :
$$\left( + \right)$$ Lactose is a reducing sugar and does not exhibit mutarotation.
$$(+)$$ Lactose is a reducing sugar and all reducing sugar shows mutarotation.
220.
Which of the vitamins given below is water soluble ?
A
Vitamin E
B
Vitamin K
C
Vitamin C
D
Vitamin D
Answer :
Vitamin C
Water - soluble vitamins dissolve in water and are not stored by the body. The water soluble vitamins include the vitamin $$B$$ - complex group and vitamin $$C.$$